🇳🇴 🇬🇧 🇩🇪 🇨🇿 🇫🇮

Meteor, poloha: Nibe 2022-05-11 00:05:59 UTC

Soubor KML  |  InteraktivnĂ­ mapa

Mapa zobrazuje dráhy meteoru. Světlejší čáry ukazují směry od pozorovacích stanic při objevení se meteoru a tmavší čáry, kde byl naposledy viděn. Modrá šipka značí viditelnou dráhu meteoru.

static map
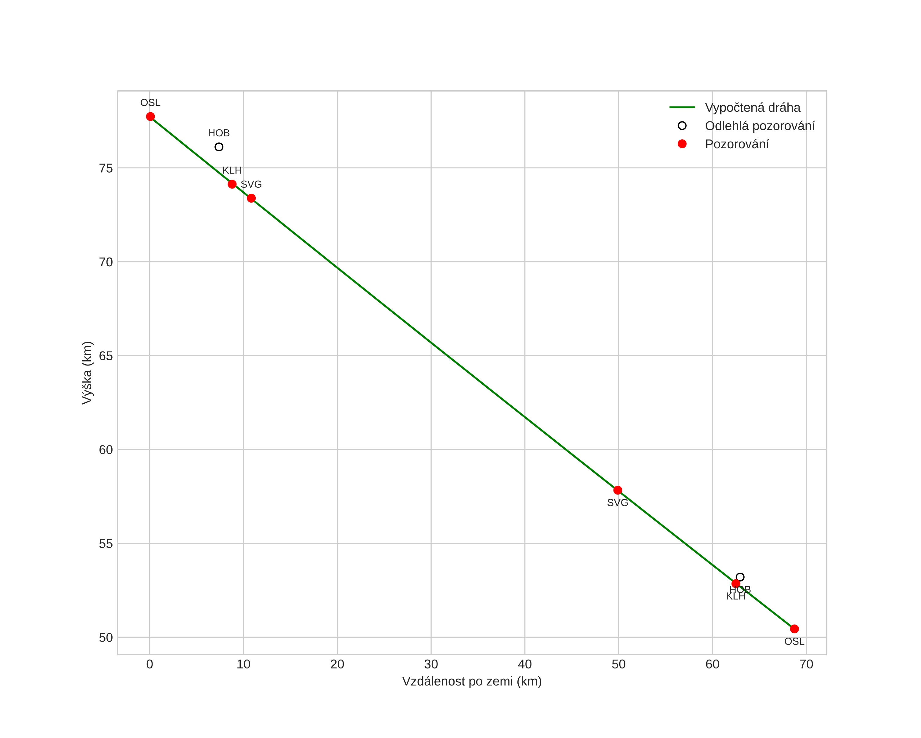
height profile
Atmosférická dráha meteoru:
Počáteční výška: 77,7 km
Konečná výška: 50,4 km
Počáteční poloha: 56,295N 9,404E
Konečná poloha: 56,902N 9,623E
Směr: 11,1°
Sklon: 21,7°
VstupnĂ­ rychlost: 26,4 km/s
Rektascenze radiantu: 15:10 (227,7°)
Deklinace radiantu: -15,1°
MeteorickĂ˝ roj: sporadickĂ˝
Elementy dráhy meteoroidu:
Vzdálenost v periheliu: 0,565 AU
Excentricita: 0,799
Sklon dráhy: 2,1°
Délka vzestupného uzlu: 50,1°
Argument perihelia: 269,5°
Střední anomálie: 350,7°
Epocha: 2022 MAY 11 00:05:59
orbit plot

NeinteraktivnĂ­ graf | InteraktivnĂ­ graf

position vs time
speed and acceleration