🇳🇴 🇬🇧 🇩🇪 🇨🇿 🇫🇮

Meteor, poloha: Hestra 2022-05-14 23:52:57 UTC

Soubor KML  |  InteraktivnĂ­ mapa

Mapa zobrazuje dráhy meteoru. Světlejší čáry ukazují směry od pozorovacích stanic při objevení se meteoru a tmavší čáry, kde byl naposledy viděn. Modrá šipka značí viditelnou dráhu meteoru.

static map
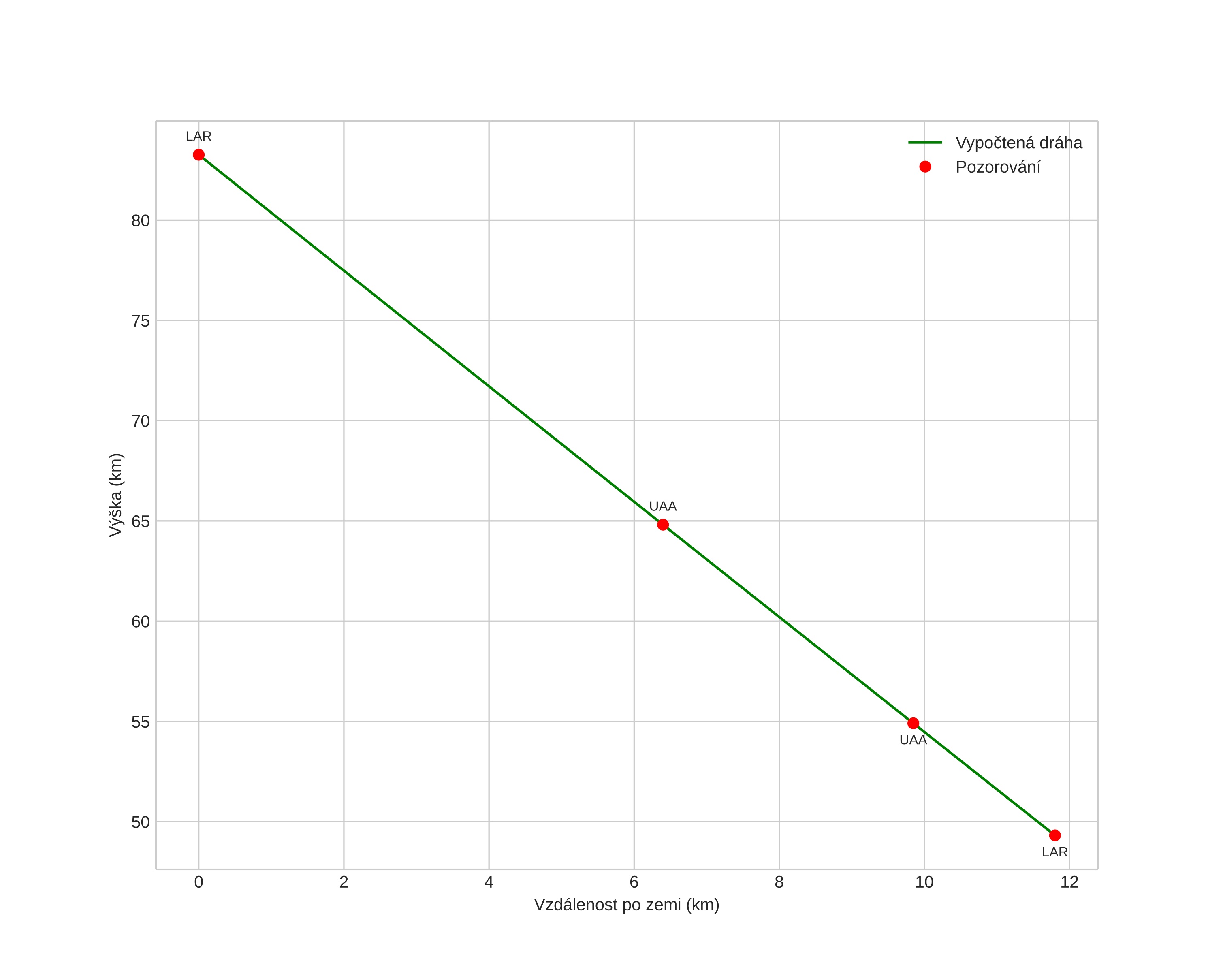
height profile
Atmosférická dráha meteoru:
Počáteční výška: 83,3 km
Konečná výška: 49,4 km
Počáteční poloha: 57,831N 14,586E
Konečná poloha: 57,926N 14,671E
Směr: 25,5°
Sklon: 70,9°
VstupnĂ­ rychlost: 23,5 km/s
Rektascenze radiantu: 15:33 (233,4°)
Deklinace radiantu: 38,7°
MeteorickĂ˝ roj: sporadickĂ˝
Elementy dráhy meteoroidu:
Vzdálenost v periheliu: 0,920 AU
Excentricita: 0,748
Sklon dráhy: 27,1°
Délka vzestupného uzlu: 53,9°
Argument perihelia: 217,9°
Střední anomálie: 356,1°
Epocha: 2022 MAY 14 23:52:57
orbit plot

NeinteraktivnĂ­ graf | InteraktivnĂ­ graf

position vs time
speed and acceleration