🇳🇴 🇬🇧 🇩🇪 🇨🇿 🇫🇮

Meteor, poloha: Flisa 2022-06-05 23:04:50 UTC

Soubor KML  |  InteraktivnĂ­ mapa

Mapa zobrazuje dráhy meteoru. Světlejší čáry ukazují směry od pozorovacích stanic při objevení se meteoru a tmavší čáry, kde byl naposledy viděn. Modrá šipka značí viditelnou dráhu meteoru.

static map
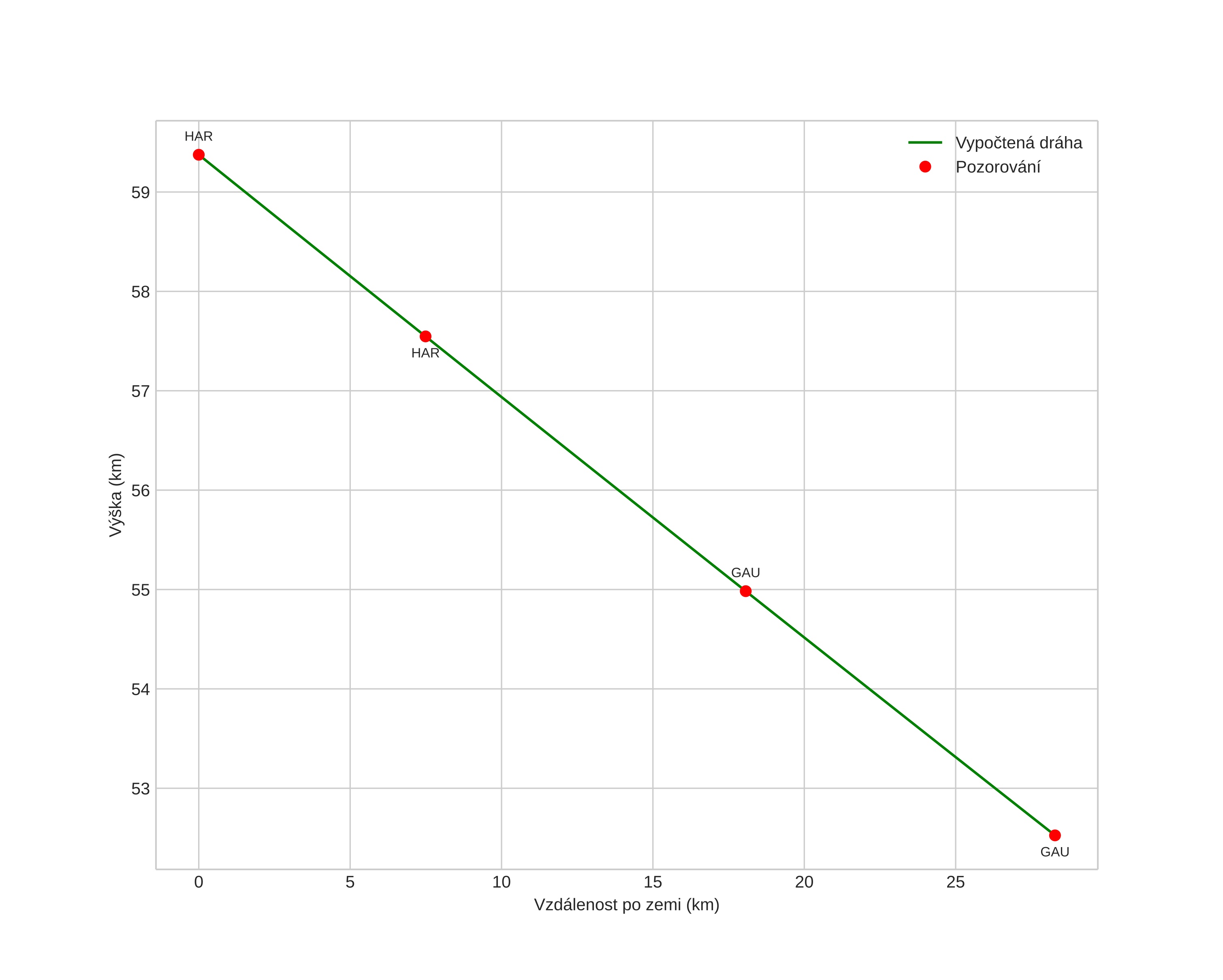
height profile
Atmosférická dráha meteoru:
Počáteční výška: 59,4 km
Konečná výška: 52,5 km
Počáteční poloha: 60,893N 11,976E
Konečná poloha: 60,731N 12,378E
Směr: 129,3°
Sklon: 13,7°
VstupnĂ­ rychlost: 12,3 km/s
Rektascenze radiantu: 07:58 (119,7°)
Deklinace radiantu: 0,1°
MeteorickĂ˝ roj: sporadickĂ˝
Elementy dráhy meteoroidu:
Vzdálenost v periheliu: 0,985 AU
Excentricita: 0,310
Sklon dráhy: 3,4°
Délka vzestupného uzlu: 254,9°
Argument perihelia: 331,3°
Střední anomálie: 14,7°
Epocha: 2022 JUN 05 23:04:50
orbit plot

NeinteraktivnĂ­ graf | InteraktivnĂ­ graf

position vs time
speed and acceleration

Gaustatoppen (GAU) cam3


gnomonic
Videa
• Gnomonická
• Gnomonická se souřadnicemi
• Původní
• Původní se souřadnicemi
Obrázky
• Gnomonická
• Gnomonická se souřadnicemi
• Gnomonická s popisky
• Původní
• Původní se souřadnicemi
Textové soubory
• Detekce
• Pozorování
• Souřadnice
• Chybová hlášení
• Protokol
Jasnost