🇳🇴 🇬🇧 🇩🇪 🇨🇿 🇫🇮

Meteor, poloha: Thyborøn 2022-06-20 00:06:27 UTC

Soubor KML  |  InteraktivnĂ­ mapa

Mapa zobrazuje dráhy meteoru. Světlejší čáry ukazují směry od pozorovacích stanic při objevení se meteoru a tmavší čáry, kde byl naposledy viděn. Modrá šipka značí viditelnou dráhu meteoru.

static map
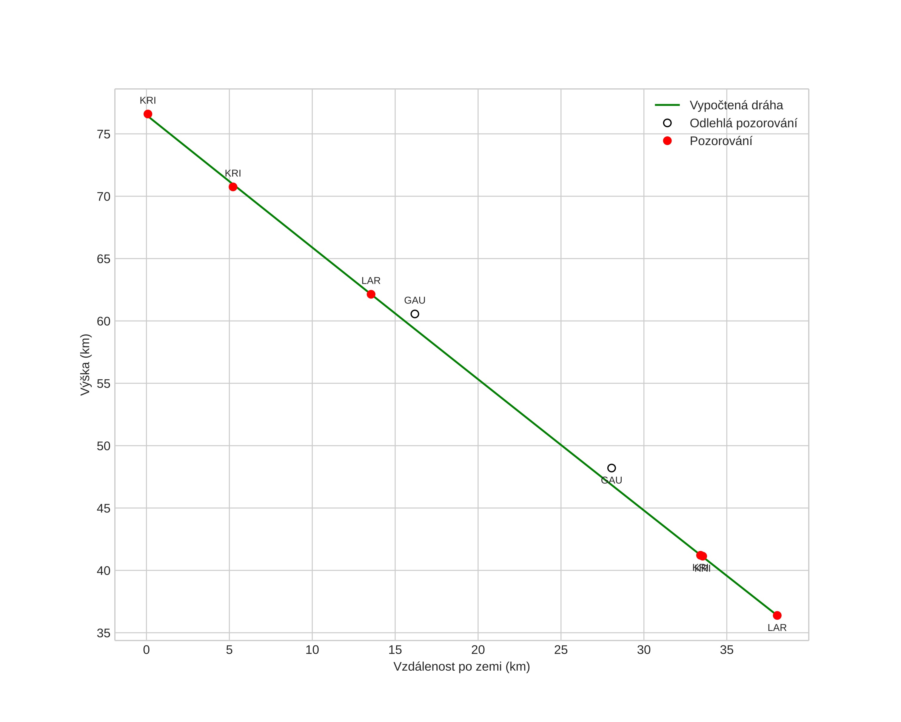
height profile
Atmosférická dráha meteoru:
Počáteční výška: 76,5 km
Konečná výška: 36,4 km
Počáteční poloha: 57,073N 7,024E
Konečná poloha: 57,203N 7,608E
Směr: 67,5°
Sklon: 46,5°
VstupnĂ­ rychlost: 14,1 km/s
Rektascenze radiantu: 14:53 (223,4°)
Deklinace radiantu: 18,5°
MeteorickĂ˝ roj: sporadickĂ˝
Elementy dráhy meteoroidu:
Vzdálenost v periheliu: 0,994 AU
Excentricita: 0,487
Sklon dráhy: 7,9°
Délka vzestupného uzlu: 88,4°
Argument perihelia: 200,8°
Střední anomálie: 353,6°
Epocha: 2022 JUN 20 00:06:27
orbit plot

NeinteraktivnĂ­ graf | InteraktivnĂ­ graf

position vs time
speed and acceleration

Gaustatoppen (GAU) cam5


gnomonic
Videa
• Gnomonická
• Gnomonická se souřadnicemi
• Původní
• Původní se souřadnicemi
Obrázky
• Gnomonická
• Gnomonická se souřadnicemi
• Gnomonická s popisky
• Původní
• Původní se souřadnicemi
Textové soubory
• Detekce
• Pozorování
• Souřadnice
• Chybová hlášení
• Protokol
Jasnost