🇳🇴 🇬🇧 🇩🇪 🇨🇿 🇫🇮

Meteor, poloha: Klitmøller 2022-06-28 22:44:37 UTC

Soubor KML  |  Interaktivní mapa

Mapa zobrazuje dráhy meteoru. Světlejší čáry ukazují směry od pozorovacích stanic při objevení se meteoru a tmavší čáry, kde byl naposledy viděn. Modrá šipka značí viditelnou dráhu meteoru.

static map
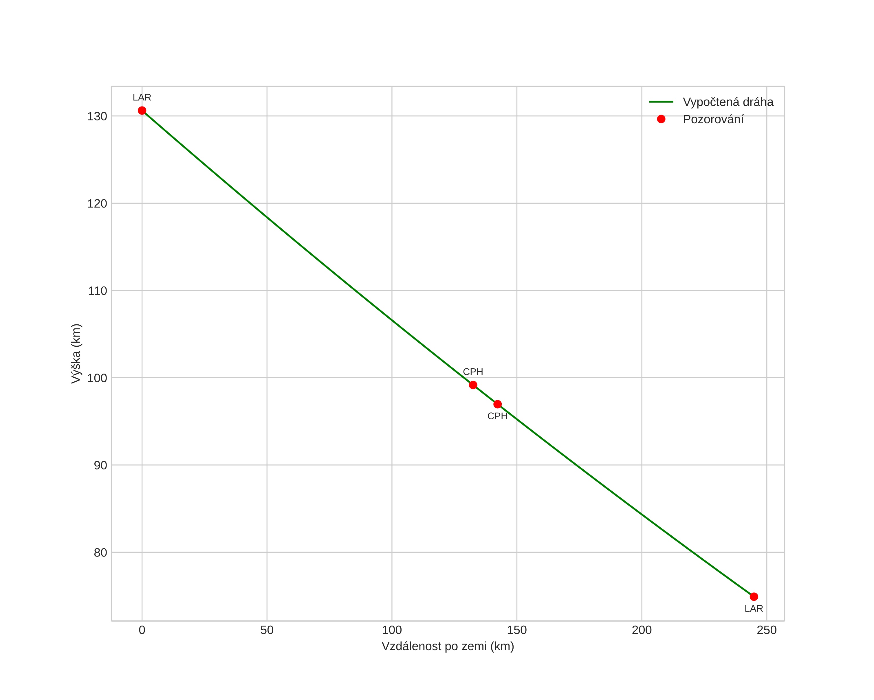
height profile
Atmosférická dráha meteoru:
Počáteční výška: 103,6 km
Konečná výška: 93,3 km
Počáteční poloha: 57,347N 8,819E
Konečná poloha: 57,063N 8,277E
Směr: 226,2°
Sklon: 12,8°
Vstupní rychlost: 72,3 km/s
Rektascenze radiantu: 01:58 (29,5°)
Deklinace radiantu: 32,9°
Meteorický roj: sporadický
Elementy dráhy meteoroidu:
Vzdálenost v periheliu: 0,596 AU
Excentricita: 1,584
Sklon dráhy: 139,2°
Délka vzestupného uzlu: 96,9°
Argument perihelia: 109,0°
Střední anomálie: 29,1°
Epocha: 2022 JUN 28 22:44:37
orbit plot

Neinteraktivní graf | Interaktivní graf

position vs time
speed and acceleration