🇳🇴 🇬🇧 🇩🇪 🇨🇿 🇫🇮

Meteor, poloha: Ă…mot 2022-06-29 22:50:23 UTC

Soubor KML  |  InteraktivnĂ­ mapa

Mapa zobrazuje dráhy meteoru. Světlejší čáry ukazují směry od pozorovacích stanic při objevení se meteoru a tmavší čáry, kde byl naposledy viděn. Modrá šipka značí viditelnou dráhu meteoru.

static map
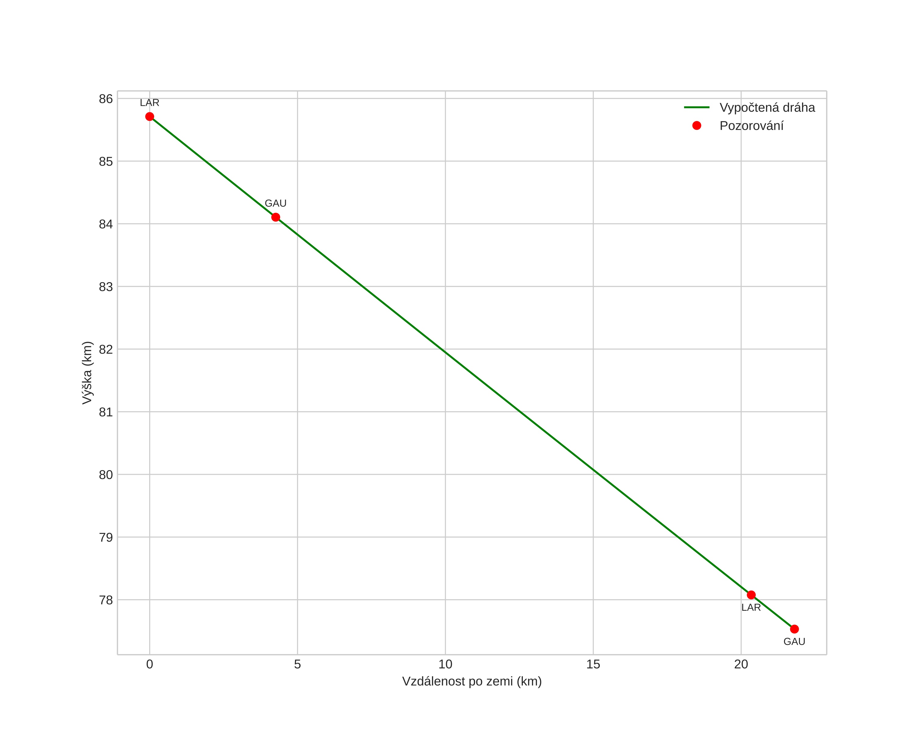
height profile
Atmosférická dráha meteoru:
Počáteční výška: 85,7 km
Konečná výška: 77,5 km
Počáteční poloha: 59,396N 7,993E
Konečná poloha: 59,592N 7,970E
Směr: 356,5°
Sklon: 20,6°
VstupnĂ­ rychlost: 22,4 km/s
Rektascenze radiantu: 18:04 (271,0°)
Deklinace radiantu: -15,6°
MeteorickĂ˝ roj: sporadickĂ˝
Elementy dráhy meteoroidu:
Vzdálenost v periheliu: 0,686 AU
Excentricita: 0,708
Sklon dráhy: 4,8°
Délka vzestupného uzlu: 97,9°
Argument perihelia: 257,5°
Střední anomálie: 347,5°
Epocha: 2022 JUN 29 22:50:23
orbit plot

NeinteraktivnĂ­ graf | InteraktivnĂ­ graf

position vs time
speed and acceleration

Gaustatoppen (GAU) cam6


gnomonic
Videa
• Gnomonická
• Gnomonická se souřadnicemi
• Původní
• Původní se souřadnicemi
Obrázky
• Gnomonická
• Gnomonická se souřadnicemi
• Gnomonická s popisky
• Původní
• Původní se souřadnicemi
Textové soubory
• Detekce
• Pozorování
• Souřadnice
• Protokol
Jasnost