🇳🇴 🇬🇧 🇩🇪 🇨🇿 🇫🇮

Meteor, poloha: Skien 2022-07-18 22:01:41 UTC

Soubor KML  |  InteraktivnĂ­ mapa

Mapa zobrazuje dráhy meteoru. Světlejší čáry ukazují směry od pozorovacích stanic při objevení se meteoru a tmavší čáry, kde byl naposledy viděn. Modrá šipka značí viditelnou dráhu meteoru.

static map
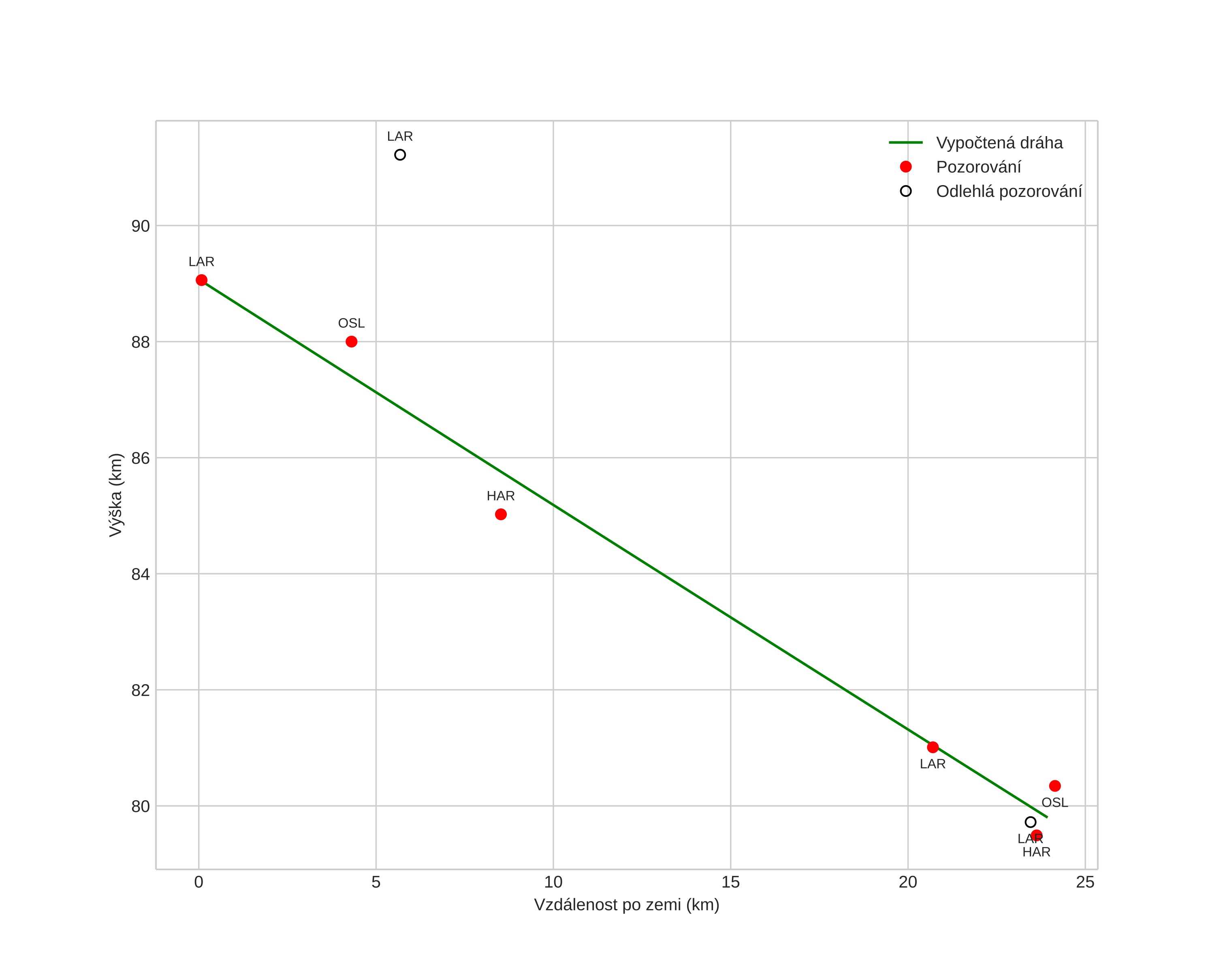
height profile
Atmosférická dráha meteoru:
Počáteční výška: 89,1 km
Konečná výška: 79,8 km
Počáteční poloha: 59,175N 9,712E
Konečná poloha: 59,371N 9,536E
Směr: 335,4°
Sklon: 21,2°
VstupnĂ­ rychlost: 28,7 km/s
Rektascenze radiantu: 19:58 (299,6°)
Deklinace radiantu: -10,3°
MeteorickĂ˝ roj: sporadickĂ˝
Elementy dráhy meteoroidu:
Vzdálenost v periheliu: 0,497 AU
Excentricita: 0,841
Sklon dráhy: 9,5°
Délka vzestupného uzlu: 116,0°
Argument perihelia: 276,9°
Střední anomálie: 352,1°
Epocha: 2022 JUL 18 22:01:41
orbit plot

NeinteraktivnĂ­ graf | InteraktivnĂ­ graf

position vs time
speed and acceleration