🇳🇴 🇬🇧 🇩🇪 🇨🇿 🇫🇮

Meteor, poloha: Kungshamn 2022-07-27 23:11:06 UTC

Soubor KML  |  InteraktivnĂ­ mapa

Mapa zobrazuje dráhy meteoru. Světlejší čáry ukazují směry od pozorovacích stanic při objevení se meteoru a tmavší čáry, kde byl naposledy viděn. Modrá šipka značí viditelnou dráhu meteoru.

static map
height profile
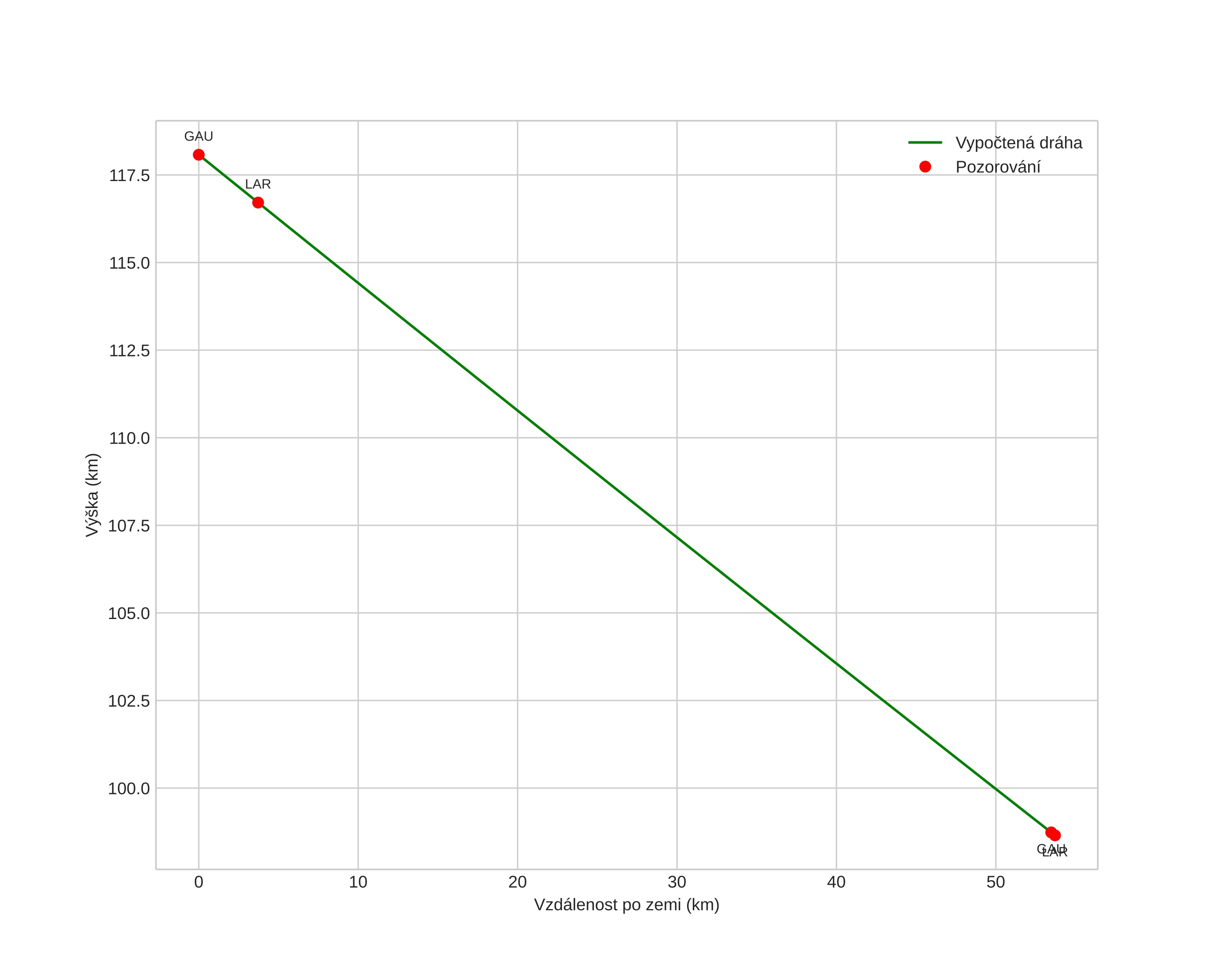
Atmosférická dráha meteoru:
Počáteční výška: 117,2 km
Konečná výška: 98,1 km
Počáteční poloha: 58,215N 12,194E
Konečná poloha: 58,309N 11,303E
Směr: 281,8°
Sklon: 19,8°
VstupnĂ­ rychlost: 68,7 km/s
Rektascenze radiantu: 01:00 (15,0°)
Deklinace radiantu: 10,2°
MeteorickĂ˝ roj: sporadickĂ˝
Elementy dráhy meteoroidu:
Vzdálenost v periheliu: 0,763 AU
Excentricita: 0,913
Sklon dráhy: 173,4°
Délka vzestupného uzlu: 124,6°
Argument perihelia: 241,3°
Střední anomálie: 358,6°
Epocha: 2022 JUL 27 23:11:06
orbit plot

NeinteraktivnĂ­ graf | InteraktivnĂ­ graf

position vs time
speed and acceleration