🇳🇴 🇬🇧 🇩🇪 🇨🇿 🇫🇮

Meteor, poloha: Vigeland 2022-07-29 22:08:20 UTC

Soubor KML  |  InteraktivnĂ­ mapa

Mapa zobrazuje dráhy meteoru. Světlejší čáry ukazují směry od pozorovacích stanic při objevení se meteoru a tmavší čáry, kde byl naposledy viděn. Modrá šipka značí viditelnou dráhu meteoru.

static map
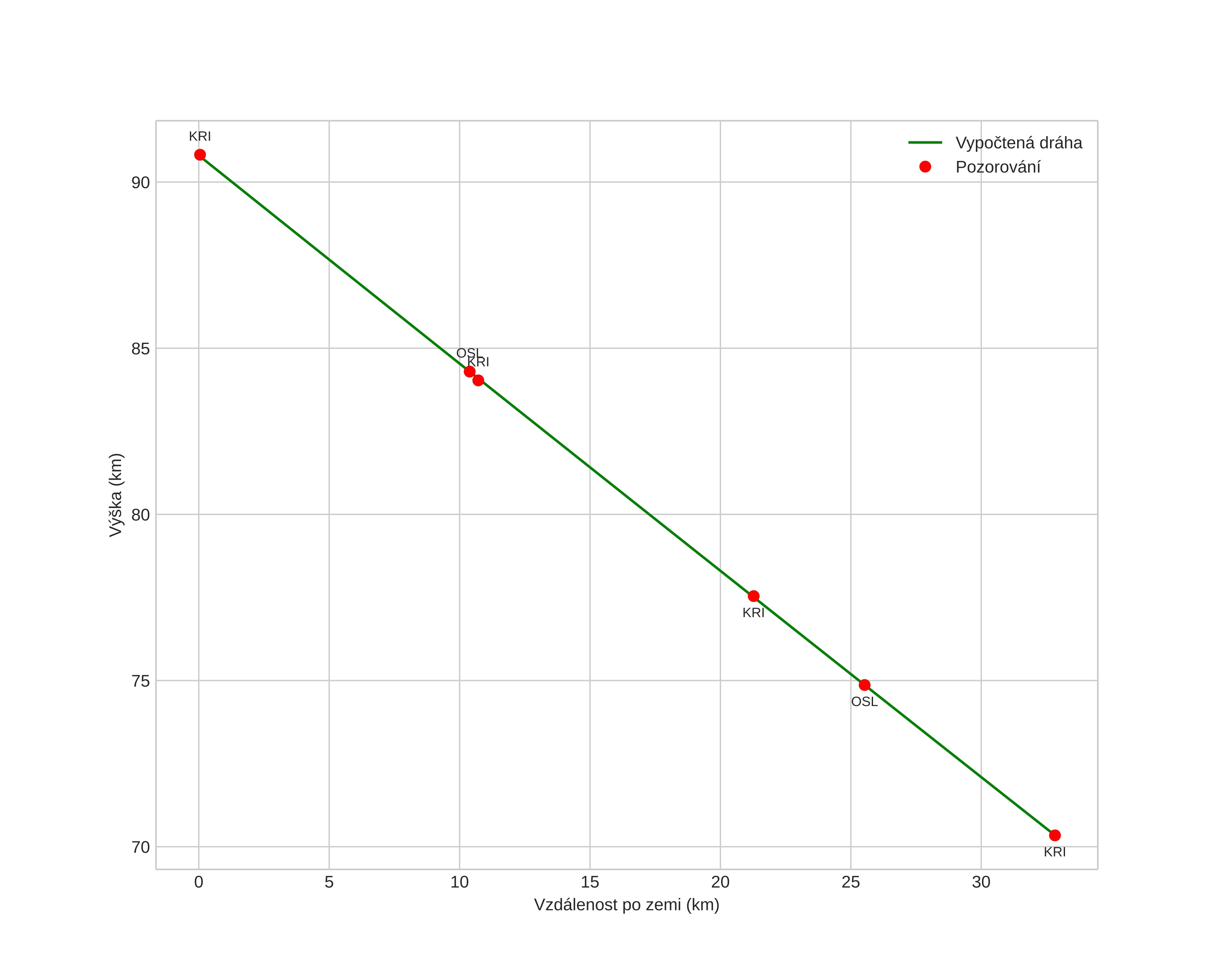
height profile
Atmosférická dráha meteoru:
Počáteční výška: 90,0 km
Konečná výška: 71,4 km
Počáteční poloha: 58,077N 7,312E
Konečná poloha: 57,778N 7,254E
Směr: 186,0°
Sklon: 29,2°
VstupnĂ­ rychlost: 38,9 km/s
Rektascenze radiantu: 06:26 (96,6°)
Deklinace radiantu: 59,5°
MeteorickĂ˝ roj: sporadickĂ˝
Elementy dráhy meteoroidu:
Vzdálenost v periheliu: 0,429 AU
Excentricita: 0,781
Sklon dráhy: 58,9°
Délka vzestupného uzlu: 126,5°
Argument perihelia: 71,6°
Střední anomálie: 16,7°
Epocha: 2022 JUL 29 22:08:20
orbit plot

NeinteraktivnĂ­ graf | InteraktivnĂ­ graf

position vs time
speed and acceleration