🇳🇴 🇬🇧 🇩🇪 🇨🇿 🇫🇮

Meteor, poloha: Odda 2022-07-30 22:02:45 UTC

Soubor KML  |  InteraktivnĂ­ mapa

Mapa zobrazuje dráhy meteoru. Světlejší čáry ukazují směry od pozorovacích stanic při objevení se meteoru a tmavší čáry, kde byl naposledy viděn. Modrá šipka značí viditelnou dráhu meteoru.

static map
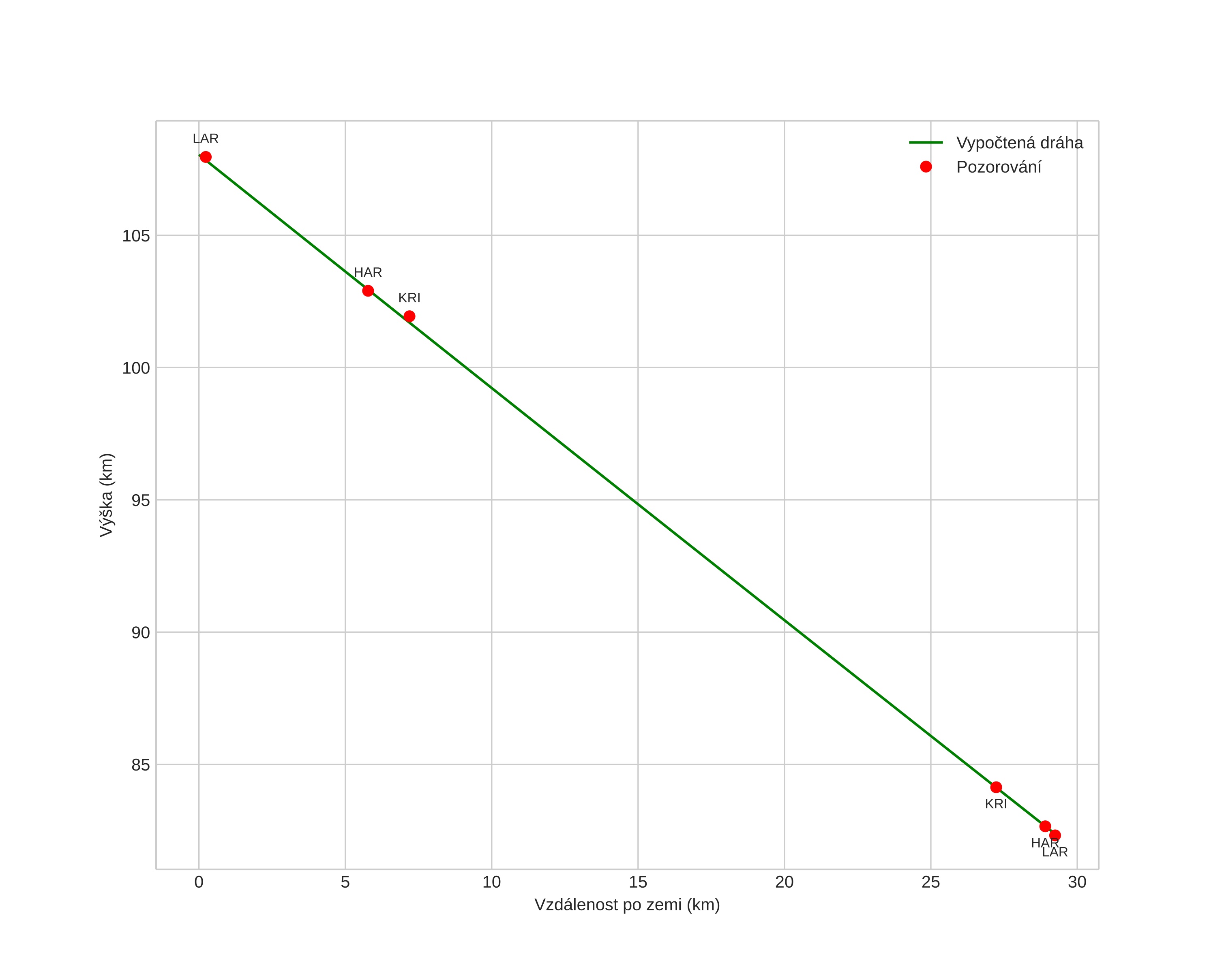
height profile
Atmosférická dráha meteoru:
Počáteční výška: 108,1 km
Konečná výška: 82,7 km
Počáteční poloha: 60,041N 7,435E
Konečná poloha: 60,060N 6,916E
Směr: 274,4°
Sklon: 41,3°
VstupnĂ­ rychlost: 58,8 km/s
Rektascenze radiantu: 23:18 (349,5°)
Deklinace radiantu: 32,4°
MeteorickĂ˝ roj: sporadickĂ˝
Elementy dráhy meteoroidu:
Vzdálenost v periheliu: 0,646 AU
Excentricita: 1,044
Sklon dráhy: 109,2°
Délka vzestupného uzlu: 127,4°
Argument perihelia: 253,3°
Střední anomálie: -0,7°
Epocha: 2022 JUL 30 22:02:45
orbit plot

NeinteraktivnĂ­ graf | InteraktivnĂ­ graf

position vs time
speed and acceleration