🇳🇴 🇬🇧 🇩🇪 🇨🇿 🇫🇮

Meteor, poloha: Tisvilde 2022-07-30 23:39:03 UTC

Soubor KML  |  InteraktivnĂ­ mapa

Mapa zobrazuje dráhy meteoru. Světlejší čáry ukazují směry od pozorovacích stanic při objevení se meteoru a tmavší čáry, kde byl naposledy viděn. Modrá šipka značí viditelnou dráhu meteoru.

static map
height profile
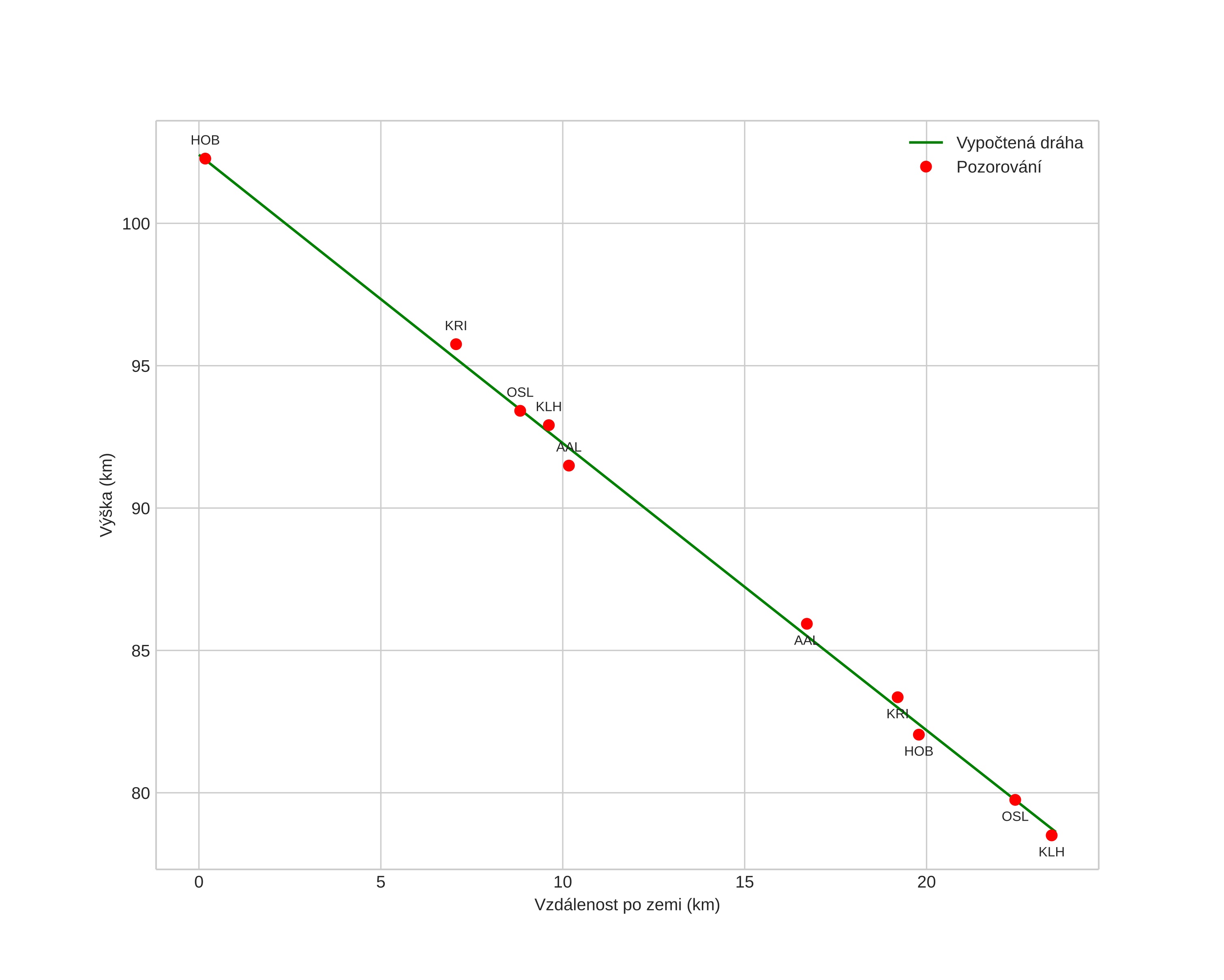
Atmosférická dráha meteoru:
Počáteční výška: 102,4 km
Konečná výška: 78,6 km
Počáteční poloha: 56,629N 11,947E
Konečná poloha: 56,417N 11,950E
Směr: 179,4°
Sklon: 45,3°
VstupnĂ­ rychlost: 33,8 km/s
Rektascenze radiantu: 09:14 (138,6°)
Deklinace radiantu: 77,5°
MeteorickĂ˝ roj: sporadickĂ˝
Elementy dráhy meteoroidu:
Vzdálenost v periheliu: 0,818 AU
Excentricita: 0,795
Sklon dráhy: 48,9°
Délka vzestupného uzlu: 127,5°
Argument perihelia: 124,2°
Střední anomálie: 4,5°
Epocha: 2022 JUL 30 23:39:03
orbit plot

NeinteraktivnĂ­ graf | InteraktivnĂ­ graf

position vs time
speed and acceleration