🇳🇴 🇬🇧 🇩🇪 🇨🇿 🇫🇮

Meteor, poloha: Tonstad 2022-08-02 00:42:39 UTC

Soubor KML  |  InteraktivnĂ­ mapa

Mapa zobrazuje dráhy meteoru. Světlejší čáry ukazují směry od pozorovacích stanic při objevení se meteoru a tmavší čáry, kde byl naposledy viděn. Modrá šipka značí viditelnou dráhu meteoru.

static map
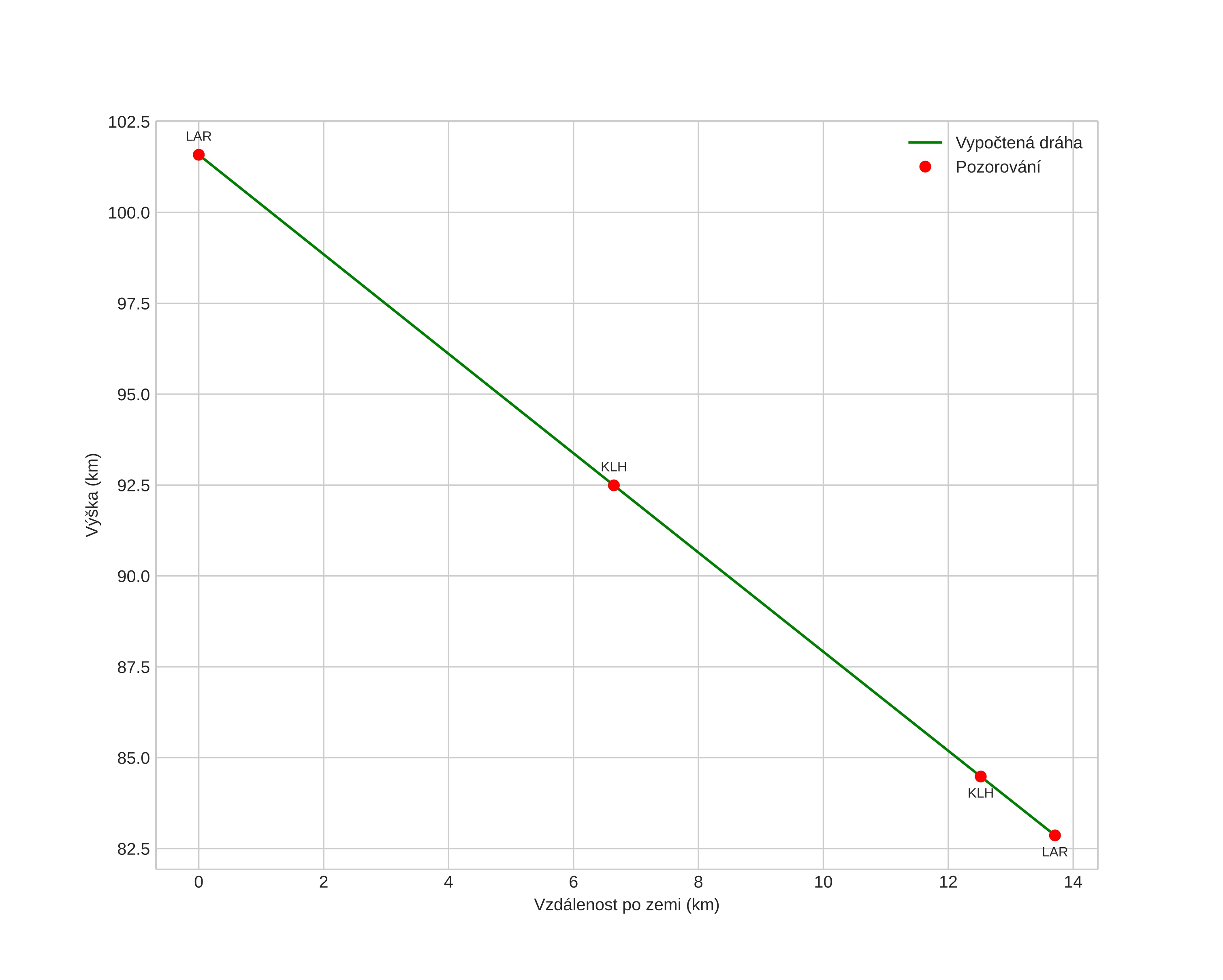
height profile
Atmosférická dráha meteoru:
Počáteční výška: 101,6 km
Konečná výška: 82,9 km
Počáteční poloha: 58,744N 7,124E
Konečná poloha: 58,695N 6,906E
Směr: 246,7°
Sklon: 53,8°
VstupnĂ­ rychlost: 65,1 km/s
Rektascenze radiantu: 02:23 (36,0°)
Deklinace radiantu: 54,0°
MeteorickĂ˝ roj: Perseidy
Elementy dráhy meteoroidu:
Vzdálenost v periheliu: 0,952 AU
Excentricita: 1,325
Sklon dráhy: 117,5°
Délka vzestupného uzlu: 129,4°
Argument perihelia: 153,1°
Střední anomálie: 3,4°
Epocha: 2022 AUG 02 00:42:39
orbit plot

NeinteraktivnĂ­ graf | InteraktivnĂ­ graf

position vs time
speed and acceleration