🇳🇴 🇬🇧 🇩🇪 🇨🇿 🇫🇮

Meteor, poloha: Klitmøller 2022-08-02 01:18:46 UTC

Soubor KML  |  InteraktivnĂ­ mapa

Mapa zobrazuje dráhy meteoru. Světlejší čáry ukazují směry od pozorovacích stanic při objevení se meteoru a tmavší čáry, kde byl naposledy viděn. Modrá šipka značí viditelnou dráhu meteoru.

static map
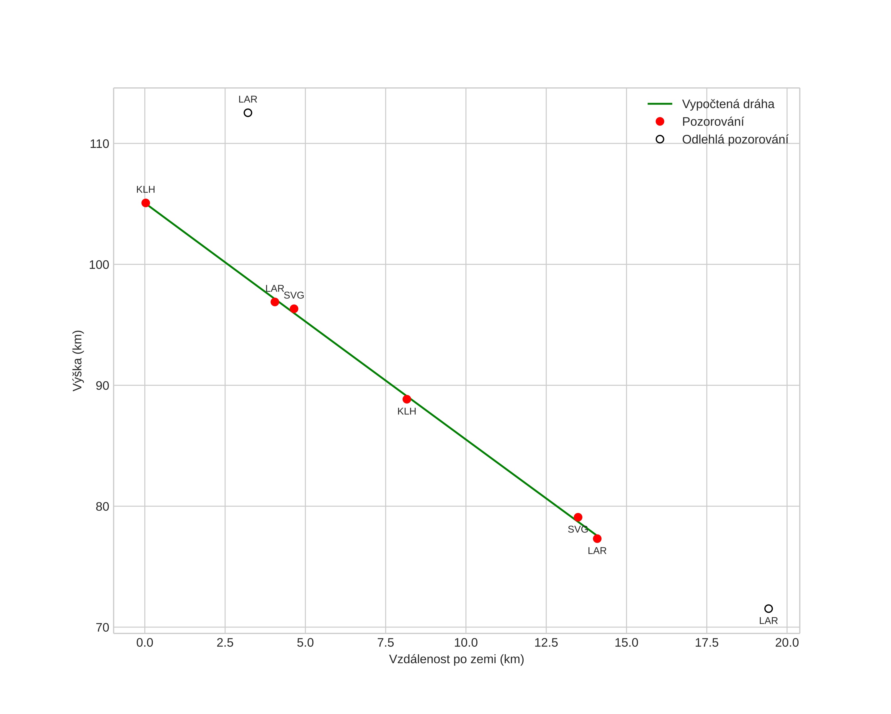
height profile
Atmosférická dráha meteoru:
Počáteční výška: 105,1 km
Konečná výška: 77,4 km
Počáteční poloha: 57,237N 8,351E
Konečná poloha: 57,180N 8,140E
Směr: 243,4°
Sklon: 62,9°
VstupnĂ­ rychlost: 66,9 km/s
Rektascenze radiantu: 02:03 (30,8°)
Deklinace radiantu: 59,1°
MeteorickĂ˝ roj: Perseidy
Elementy dráhy meteoroidu:
Vzdálenost v periheliu: 0,976 AU
Excentricita: 1,772
Sklon dráhy: 111,3°
Délka vzestupného uzlu: 129,5°
Argument perihelia: 160,0°
Střední anomálie: 8,3°
Epocha: 2022 AUG 02 01:18:46
orbit plot

NeinteraktivnĂ­ graf | InteraktivnĂ­ graf

position vs time
speed and acceleration