🇳🇴 🇬🇧 🇩🇪 🇨🇿 🇫🇮

Meteor, poloha: Vigrestad 2022-08-04 21:07:53 UTC

Soubor KML  |  Interaktivní mapa

Mapa zobrazuje dráhy meteoru. Světlejší čáry ukazují směry od pozorovacích stanic při objevení se meteoru a tmavší čáry, kde byl naposledy viděn. Modrá šipka značí viditelnou dráhu meteoru.

static map
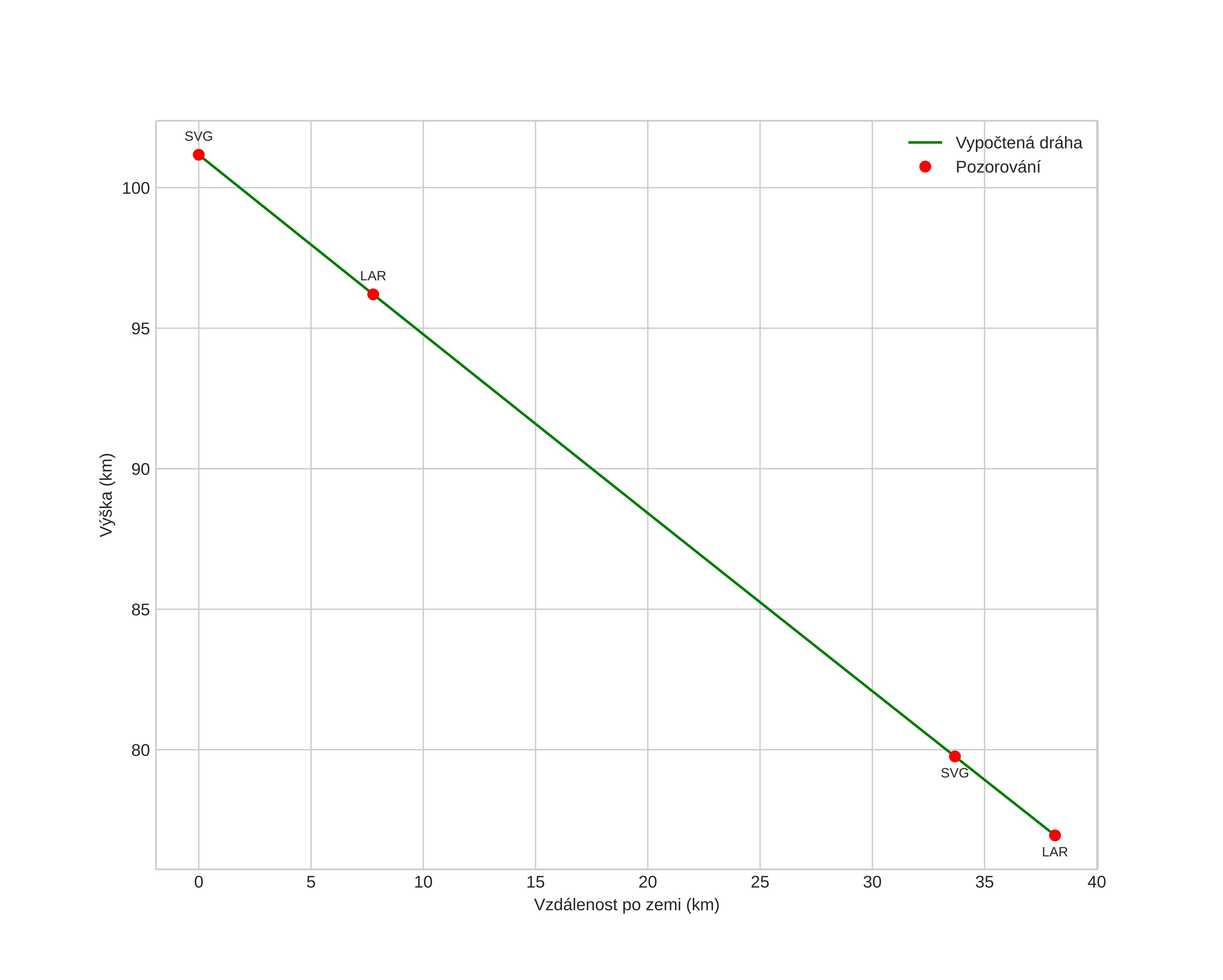
height profile
Atmosférická dráha meteoru:
Počáteční výška: 101,2 km
Konečná výška: 77,0 km
Počáteční poloha: 56,460N 4,610E
Konečná poloha: 56,180N 4,252E
Směr: 215,5°
Sklon: 32,4°
Vstupní rychlost: 73,0 km/s
Rektascenze radiantu: 02:17 (34,4°)
Deklinace radiantu: 55,5°
Meteorický roj: sporadický
Elementy dráhy meteoroidu:
Vzdálenost v periheliu: 0,986 AU
Excentricita: 2,184
Sklon dráhy: 119,6°
Délka vzestupného uzlu: 132,2°
Argument perihelia: 163,7°
Střední anomálie: 12,0°
Epocha: 2022 AUG 04 21:07:53
orbit plot

Neinteraktivní graf | Interaktivní graf

position vs time
speed and acceleration