🇳🇴 🇬🇧 🇩🇪 🇨🇿 🇫🇮

Meteor, poloha: Tonstad 2022-08-04 21:44:23 UTC

Soubor KML  |  InteraktivnĂ­ mapa

Mapa zobrazuje dráhy meteoru. Světlejší čáry ukazují směry od pozorovacích stanic při objevení se meteoru a tmavší čáry, kde byl naposledy viděn. Modrá šipka značí viditelnou dráhu meteoru.

static map
height profile
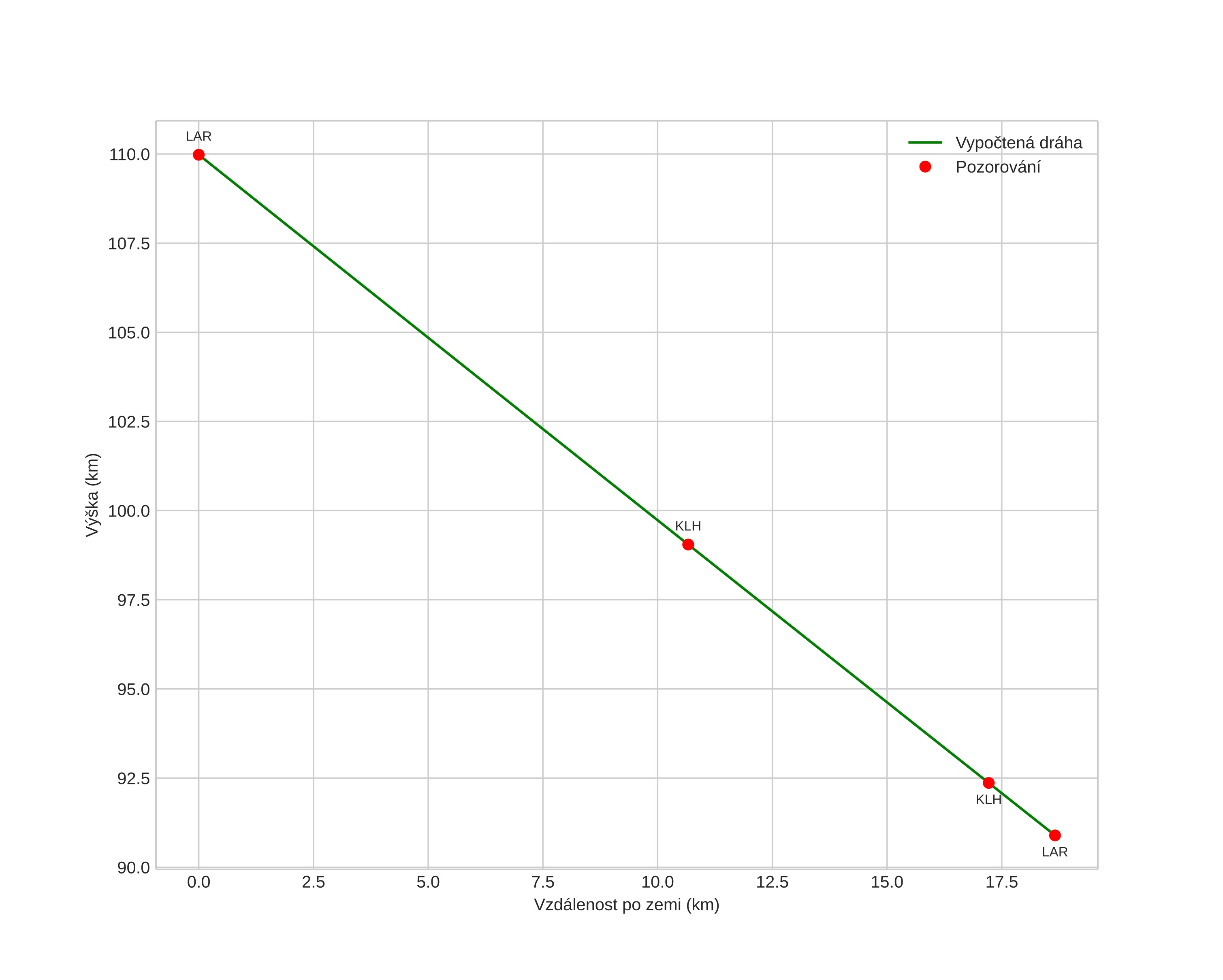
Atmosférická dráha meteoru:
Počáteční výška: 110,0 km
Konečná výška: 90,9 km
Počáteční poloha: 59,170N 7,061E
Konečná poloha: 59,027N 6,888E
Směr: 211,8°
Sklon: 45,7°
VstupnĂ­ rychlost: 60,3 km/s
Rektascenze radiantu: 02:31 (38,0°)
Deklinace radiantu: 66,5°
MeteorickĂ˝ roj: sporadickĂ˝
Elementy dráhy meteoroidu:
Vzdálenost v periheliu: 0,947 AU
Excentricita: 1,453
Sklon dráhy: 100,1°
Délka vzestupného uzlu: 132,2°
Argument perihelia: 152,5°
Střední anomálie: 5,6°
Epocha: 2022 AUG 04 21:44:23
orbit plot

NeinteraktivnĂ­ graf | InteraktivnĂ­ graf

position vs time
speed and acceleration