🇳🇴 🇬🇧 🇩🇪 🇨🇿 🇫🇮

Meteor, poloha: Kviteseid 2022-08-04 22:57:01 UTC

Soubor KML  |  InteraktivnĂ­ mapa

Mapa zobrazuje dráhy meteoru. Světlejší čáry ukazují směry od pozorovacích stanic při objevení se meteoru a tmavší čáry, kde byl naposledy viděn. Modrá šipka značí viditelnou dráhu meteoru.

static map
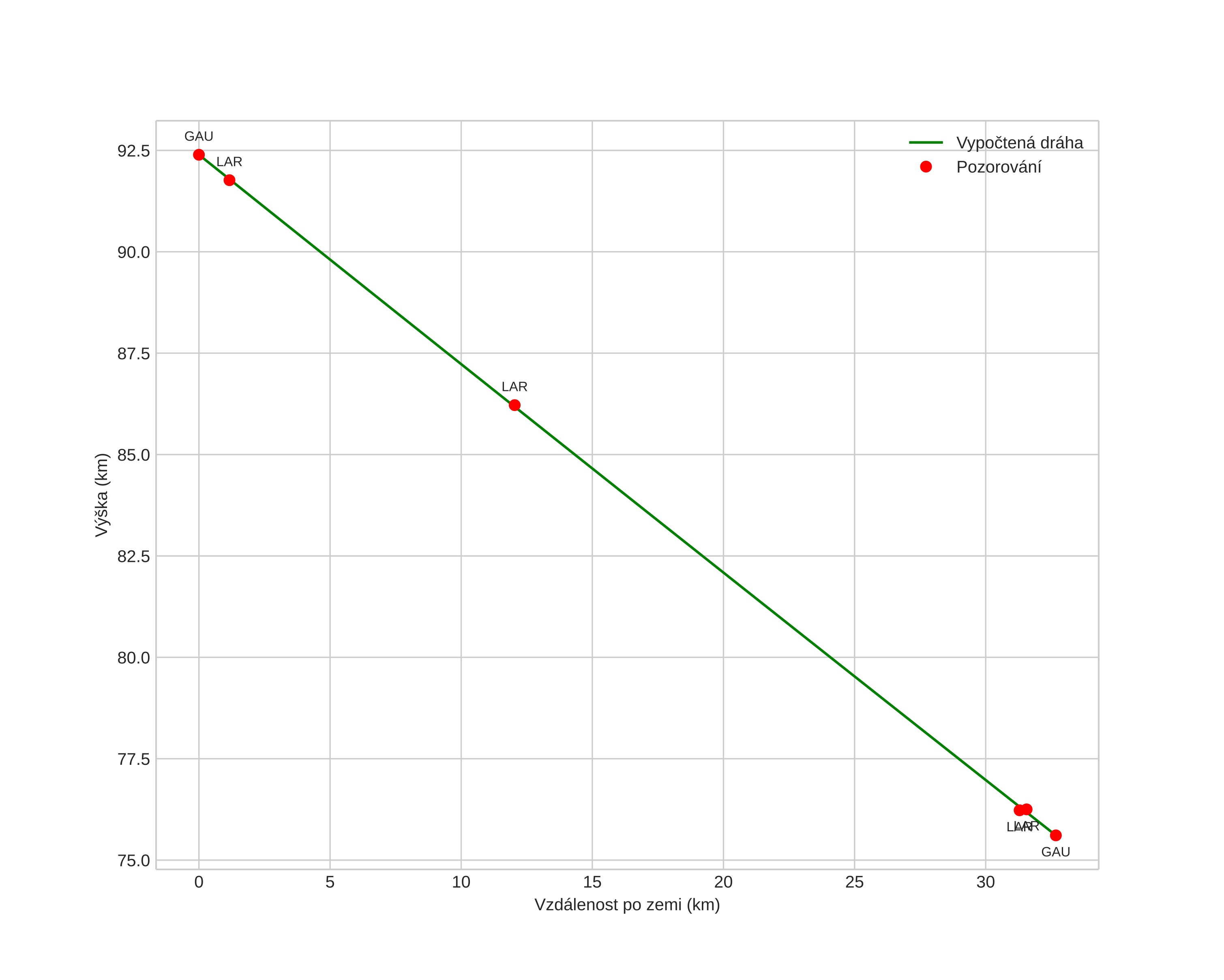
height profile
Atmosférická dráha meteoru:
Počáteční výška: 93,3 km
Konečná výška: 75,7 km
Počáteční poloha: 58,983N 8,466E
Konečná poloha: 59,287N 8,416E
Směr: 355,2°
Sklon: 27,4°
VstupnĂ­ rychlost: 23,2 km/s
Rektascenze radiantu: 20:38 (309,6°)
Deklinace radiantu: -8,1°
MeteorickĂ˝ roj: alpha-capricornidene
Elementy dráhy meteoroidu:
Vzdálenost v periheliu: 0,627 AU
Excentricita: 0,709
Sklon dráhy: 6,7°
Délka vzestupného uzlu: 132,3°
Argument perihelia: 265,4°
Střední anomálie: 345,3°
Epocha: 2022 AUG 04 22:57:01
orbit plot

NeinteraktivnĂ­ graf | InteraktivnĂ­ graf

position vs time
speed and acceleration