🇳🇴 🇬🇧 🇩🇪 🇨🇿 🇫🇮

Meteor, poloha: Siljan 2022-08-05 23:05:48 UTC

Soubor KML  |  InteraktivnĂ­ mapa

Mapa zobrazuje dráhy meteoru. Světlejší čáry ukazují směry od pozorovacích stanic při objevení se meteoru a tmavší čáry, kde byl naposledy viděn. Modrá šipka značí viditelnou dráhu meteoru.

static map
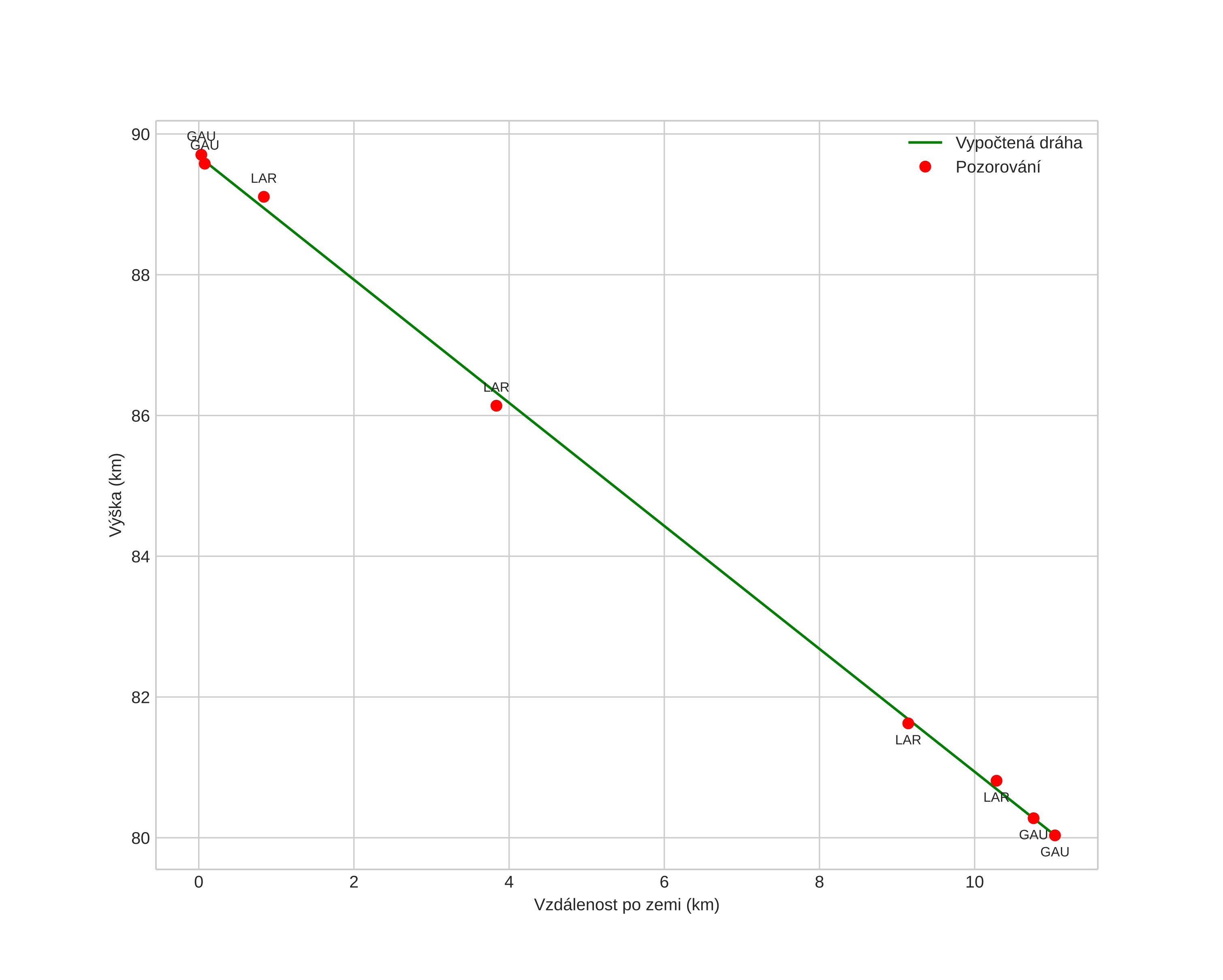
height profile
Atmosférická dráha meteoru:
Počáteční výška: 90,0 km
Konečná výška: 79,7 km
Počáteční poloha: 59,270N 9,711E
Konečná poloha: 59,330N 9,878E
Směr: 54,6°
Sklon: 41,5°
VstupnĂ­ rychlost: 19,5 km/s
Rektascenze radiantu: 17:47 (266,8°)
Deklinace radiantu: 15,6°
MeteorickĂ˝ roj: sporadickĂ˝
Elementy dráhy meteoroidu:
Vzdálenost v periheliu: 0,965 AU
Excentricita: 0,913
Sklon dráhy: 14,8°
Délka vzestupného uzlu: 133,2°
Argument perihelia: 206,1°
Střední anomálie: 359,5°
Epocha: 2022 AUG 05 23:05:48
orbit plot

NeinteraktivnĂ­ graf | InteraktivnĂ­ graf

position vs time
speed and acceleration