🇳🇴 🇬🇧 🇩🇪 🇨🇿 🇫🇮

Meteor, poloha: Farnes 2022-08-06 01:59:28 UTC

Soubor KML  |  InteraktivnĂ­ mapa

Mapa zobrazuje dráhy meteoru. Světlejší čáry ukazují směry od pozorovacích stanic při objevení se meteoru a tmavší čáry, kde byl naposledy viděn. Modrá šipka značí viditelnou dráhu meteoru.

static map
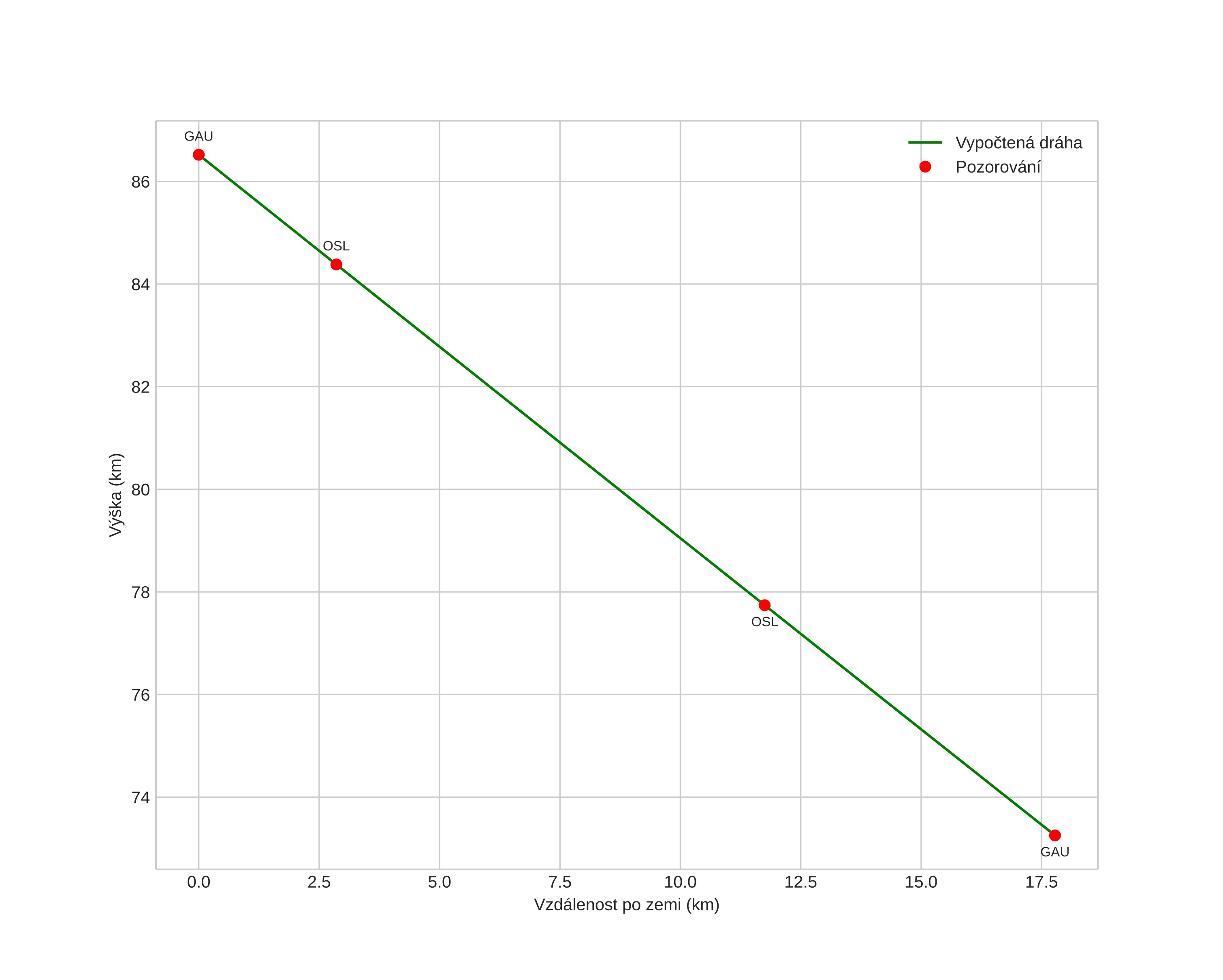
height profile
Atmosférická dráha meteoru:
Počáteční výška: 86,5 km
Konečná výška: 73,3 km
Počáteční poloha: 61,578N 7,598E
Konečná poloha: 61,517N 7,909E
Směr: 112,1°
Sklon: 36,6°
VstupnĂ­ rychlost: 20,2 km/s
Rektascenze radiantu: 17:17 (259,5°)
Deklinace radiantu: 37,3°
MeteorickĂ˝ roj: sporadickĂ˝
Elementy dráhy meteoroidu:
Vzdálenost v periheliu: 1,000 AU
Excentricita: 0,818
Sklon dráhy: 21,9°
Délka vzestupného uzlu: 133,3°
Argument perihelia: 194,3°
Střední anomálie: 359,2°
Epocha: 2022 AUG 06 01:59:28
orbit plot

NeinteraktivnĂ­ graf | InteraktivnĂ­ graf

position vs time
speed and acceleration

Gaustatoppen (GAU) cam2


gnomonic
Videa
• Gnomonická
• Gnomonická se souřadnicemi
• Původní
• Původní se souřadnicemi
Obrázky
• Gnomonická
• Gnomonická se souřadnicemi
• Gnomonická s popisky
• Původní
• Původní se souřadnicemi
Textové soubory
• Detekce
• Pozorování
• Souřadnice
• Chybová hlášení
• Protokol
Jasnost