🇳🇴 🇬🇧 🇩🇪 🇨🇿 🇫🇮

Meteor, poloha: Ă…l 2022-08-08 23:54:37 UTC

Soubor KML  |  InteraktivnĂ­ mapa

Mapa zobrazuje dráhy meteoru. Světlejší čáry ukazují směry od pozorovacích stanic při objevení se meteoru a tmavší čáry, kde byl naposledy viděn. Modrá šipka značí viditelnou dráhu meteoru.

static map
height profile
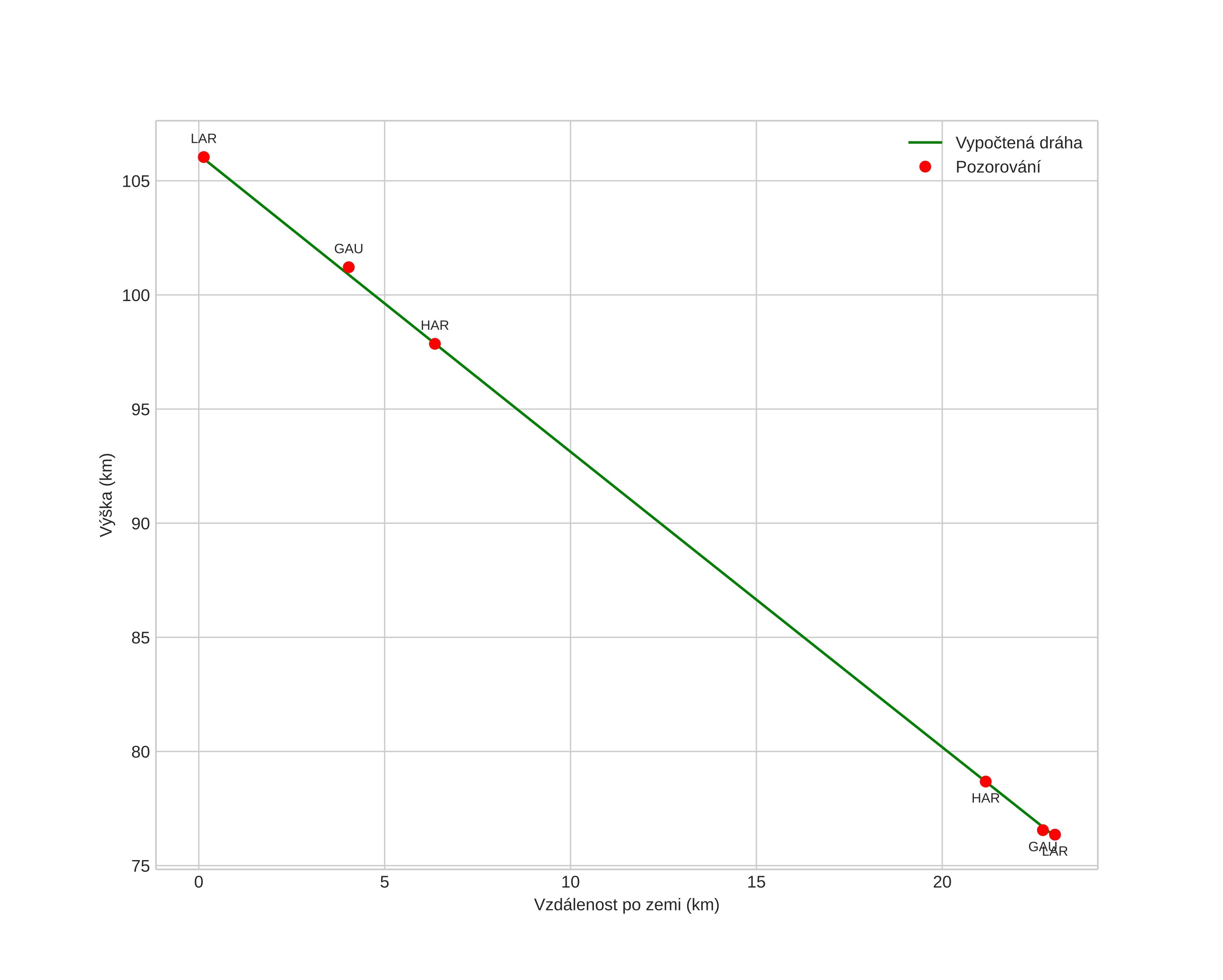
Atmosférická dráha meteoru:
Počáteční výška: 107,7 km
Konečná výška: 75,1 km
Počáteční poloha: 60,567N 9,128E
Konečná poloha: 60,463N 8,725E
Směr: 242,3°
Sklon: 52,6°
VstupnĂ­ rychlost: 59,1 km/s
Rektascenze radiantu: 02:39 (40,0°)
Deklinace radiantu: 55,9°
MeteorickĂ˝ roj: Perseidy
Elementy dráhy meteoroidu:
Vzdálenost v periheliu: 0,965 AU
Excentricita: 0,819
Sklon dráhy: 113,3°
Délka vzestupného uzlu: 136,1°
Argument perihelia: 153,2°
Střední anomálie: 1,6°
Epocha: 2022 AUG 08 23:54:37
orbit plot

NeinteraktivnĂ­ graf | InteraktivnĂ­ graf

position vs time
speed and acceleration