🇳🇴 🇬🇧 🇩🇪 🇨🇿 🇫🇮

Meteor, poloha: Hirtshals 2022-08-09 00:53:46 UTC

Soubor KML  |  InteraktivnĂ­ mapa

Mapa zobrazuje dráhy meteoru. Světlejší čáry ukazují směry od pozorovacích stanic při objevení se meteoru a tmavší čáry, kde byl naposledy viděn. Modrá šipka značí viditelnou dráhu meteoru.

static map
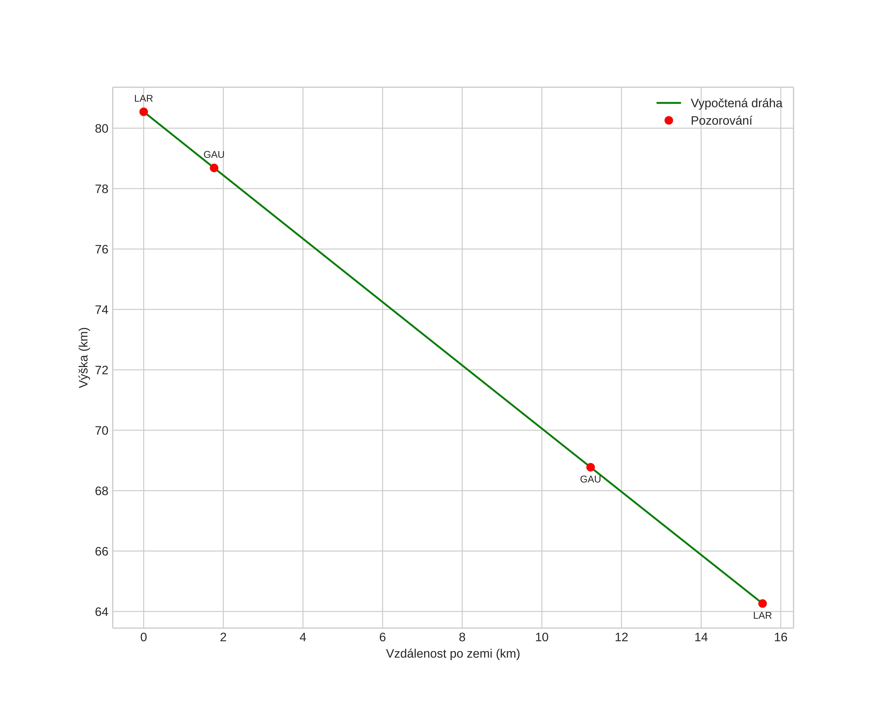
height profile
Atmosférická dráha meteoru:
Počáteční výška: 82,4 km
Konečná výška: 64,7 km
Počáteční poloha: 58,245N 9,497E
Konečná poloha: 58,188N 9,762E
Směr: 111,8°
Sklon: 46,6°
VstupnĂ­ rychlost: 17,8 km/s
Rektascenze radiantu: 17:15 (258,9°)
Deklinace radiantu: 44,3°
MeteorickĂ˝ roj: sporadickĂ˝
Elementy dráhy meteoroidu:
Vzdálenost v periheliu: 1,008 AU
Excentricita: 0,560
Sklon dráhy: 20,7°
Délka vzestupného uzlu: 136,2°
Argument perihelia: 190,7°
Střední anomálie: 357,5°
Epocha: 2022 AUG 09 00:53:46
orbit plot

NeinteraktivnĂ­ graf | InteraktivnĂ­ graf

position vs time
speed and acceleration