🇳🇴 🇬🇧 🇩🇪 🇨🇿 🇫🇮

Meteor, poloha: Vennesla 2022-08-10 20:48:13 UTC

Soubor KML  |  InteraktivnĂ­ mapa

Mapa zobrazuje dráhy meteoru. Světlejší čáry ukazují směry od pozorovacích stanic při objevení se meteoru a tmavší čáry, kde byl naposledy viděn. Modrá šipka značí viditelnou dráhu meteoru.

static map
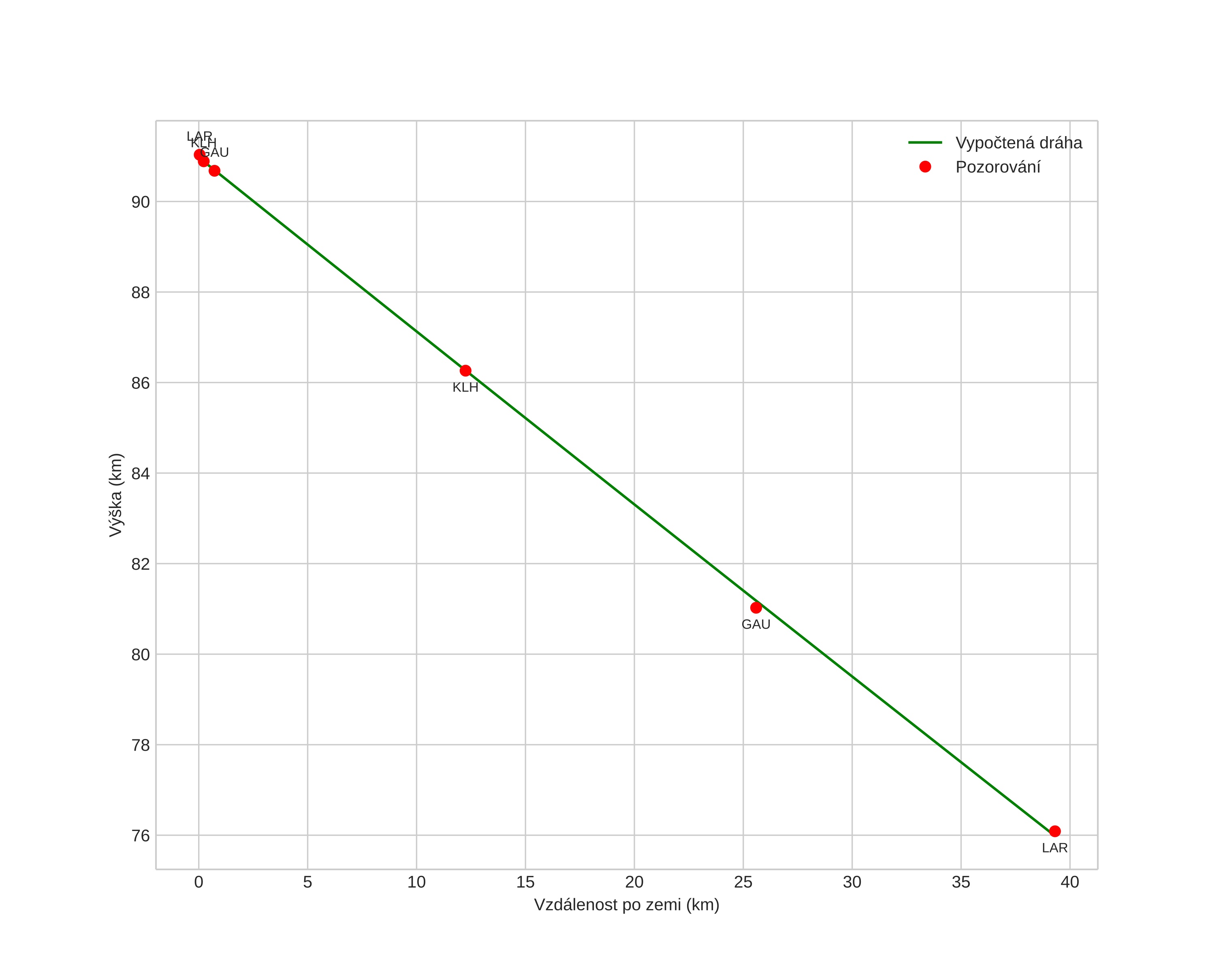
height profile
Atmosférická dráha meteoru:
Počáteční výška: 91,0 km
Konečná výška: 76,0 km
Počáteční poloha: 58,024N 8,414E
Konečná poloha: 58,266N 7,926E
Směr: 313,5°
Sklon: 20,9°
VstupnĂ­ rychlost: 30,3 km/s
Rektascenze radiantu: 21:31 (322,8°)
Deklinace radiantu: -5,0°
MeteorickĂ˝ roj: sporadickĂ˝
Elementy dráhy meteoroidu:
Vzdálenost v periheliu: 0,451 AU
Excentricita: 0,874
Sklon dráhy: 9,6°
Délka vzestupného uzlu: 137,9°
Argument perihelia: 280,9°
Střední anomálie: 353,8°
Epocha: 2022 AUG 10 20:48:13
orbit plot

NeinteraktivnĂ­ graf | InteraktivnĂ­ graf

position vs time
speed and acceleration

Gaustatoppen (GAU) cam5


gnomonic
Videa
• Gnomonická
• Gnomonická se souřadnicemi
• Původní
• Původní se souřadnicemi
Obrázky
• Gnomonická
• Gnomonická se souřadnicemi
• Gnomonická s popisky
• Původní
• Původní se souřadnicemi
Textové soubory
• Detekce
• Pozorování
• Souřadnice
• Chybová hlášení
• Protokol
Jasnost