🇳🇴 🇬🇧 🇩🇪 🇨🇿 🇫🇮

Meteor, poloha: Kinna 2022-08-10 22:22:57 UTC

Soubor KML  |  InteraktivnĂ­ mapa

Mapa zobrazuje dráhy meteoru. Světlejší čáry ukazují směry od pozorovacích stanic při objevení se meteoru a tmavší čáry, kde byl naposledy viděn. Modrá šipka značí viditelnou dráhu meteoru.

static map
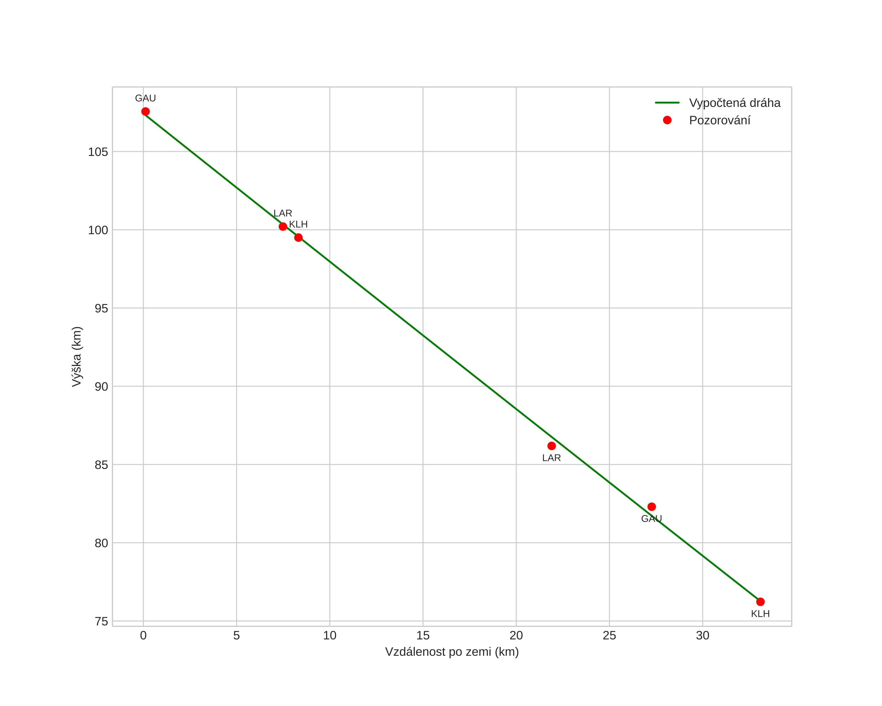
height profile
Atmosférická dráha meteoru:
Počáteční výška: 108,2 km
Konečná výška: 75,9 km
Počáteční poloha: 57,621N 13,167E
Konečná poloha: 57,435N 12,704E
Směr: 233,5°
Sklon: 43,1°
VstupnĂ­ rychlost: 62,0 km/s
Rektascenze radiantu: 02:33 (38,3°)
Deklinace radiantu: 53,9°
MeteorickĂ˝ roj: Perseidy
Elementy dráhy meteoroidu:
Vzdálenost v periheliu: 0,995 AU
Excentricita: 0,959
Sklon dráhy: 117,9°
Délka vzestupného uzlu: 138,0°
Argument perihelia: 164,3°
Střední anomálie: 0,1°
Epocha: 2022 AUG 10 22:22:57
orbit plot

NeinteraktivnĂ­ graf | InteraktivnĂ­ graf

position vs time
speed and acceleration