🇳🇴 🇬🇧 🇩🇪 🇨🇿 🇫🇮

Meteor, poloha: Nibe 2022-08-10 22:39:01 UTC

Soubor KML  |  InteraktivnĂ­ mapa

Mapa zobrazuje dráhy meteoru. Světlejší čáry ukazují směry od pozorovacích stanic při objevení se meteoru a tmavší čáry, kde byl naposledy viděn. Modrá šipka značí viditelnou dráhu meteoru.

static map
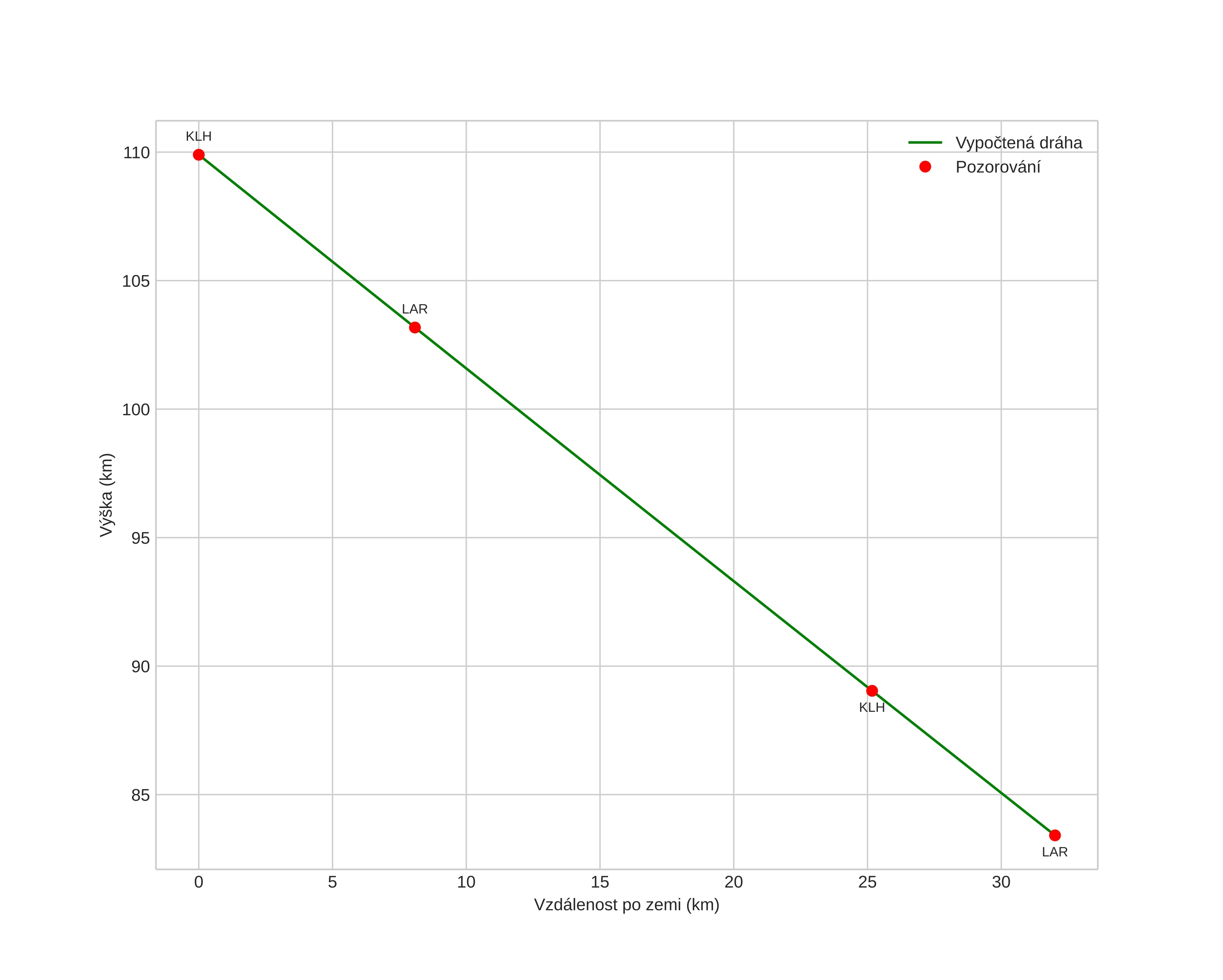
height profile
Atmosférická dráha meteoru:
Počáteční výška: 108,7 km
Konečná výška: 82,5 km
Počáteční poloha: 57,278N 9,994E
Konečná poloha: 57,075N 9,651E
Směr: 222,7°
Sklon: 40,6°
VstupnĂ­ rychlost: 58,2 km/s
Rektascenze radiantu: 03:28 (52,2°)
Deklinace radiantu: 57,9°
MeteorickĂ˝ roj: Perseidy
Elementy dráhy meteoroidu:
Vzdálenost v periheliu: 0,885 AU
Excentricita: 0,824
Sklon dráhy: 111,4°
Délka vzestupného uzlu: 138,0°
Argument perihelia: 135,9°
Střední anomálie: 2,6°
Epocha: 2022 AUG 10 22:39:01
orbit plot

NeinteraktivnĂ­ graf | InteraktivnĂ­ graf

position vs time
speed and acceleration