🇳🇴 🇬🇧 🇩🇪 🇨🇿 🇫🇮

Meteor, poloha: Mandal 2022-08-10 23:40:44 UTC

Soubor KML  |  InteraktivnĂ­ mapa

Mapa zobrazuje dráhy meteoru. Světlejší čáry ukazují směry od pozorovacích stanic při objevení se meteoru a tmavší čáry, kde byl naposledy viděn. Modrá šipka značí viditelnou dráhu meteoru.

static map
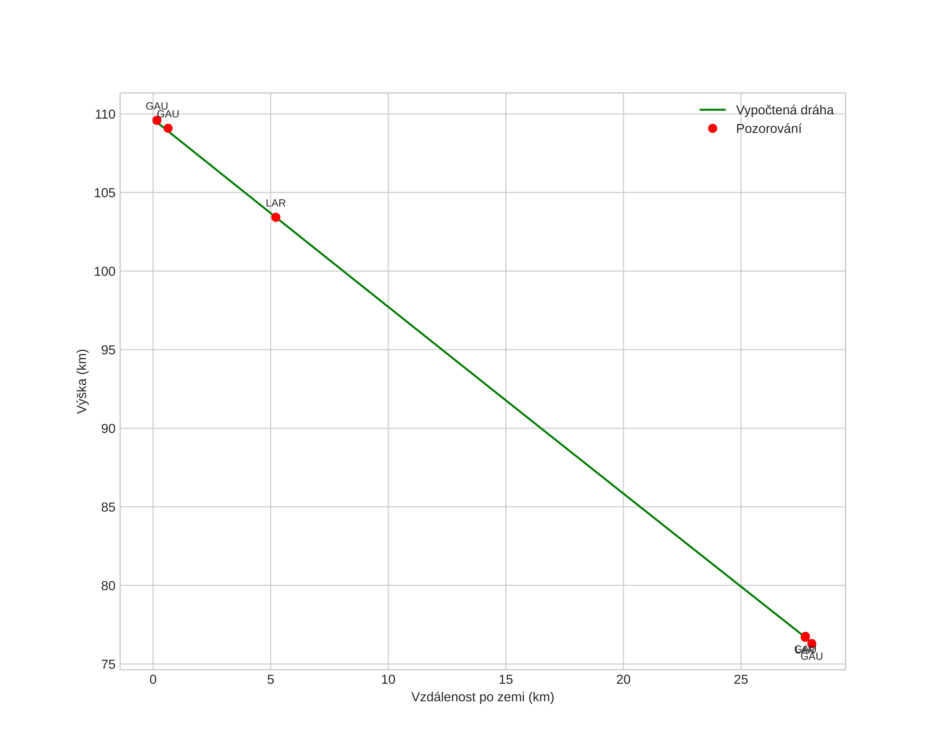
height profile
Atmosférická dráha meteoru:
Počáteční výška: 109,9 km
Konečná výška: 74,2 km
Počáteční poloha: 58,138N 7,853E
Konečná poloha: 58,001N 7,442E
Směr: 238,0°
Sklon: 51,4°
VstupnĂ­ rychlost: 61,8 km/s
Rektascenze radiantu: 02:32 (38,2°)
Deklinace radiantu: 56,8°
MeteorickĂ˝ roj: Perseidy
Elementy dráhy meteoroidu:
Vzdálenost v periheliu: 0,991 AU
Excentricita: 1,066
Sklon dráhy: 114,1°
Délka vzestupného uzlu: 138,0°
Argument perihelia: 163,2°
Střední anomálie: 0,2°
Epocha: 2022 AUG 10 23:40:44
orbit plot

NeinteraktivnĂ­ graf | InteraktivnĂ­ graf

position vs time
speed and acceleration