🇳🇴 🇬🇧 🇩🇪 🇨🇿 🇫🇮

Meteor, poloha: Løkken 2022-08-11 00:41:11 UTC

Soubor KML  |  InteraktivnĂ­ mapa

Mapa zobrazuje dráhy meteoru. Světlejší čáry ukazují směry od pozorovacích stanic při objevení se meteoru a tmavší čáry, kde byl naposledy viděn. Modrá šipka značí viditelnou dráhu meteoru.

static map
height profile
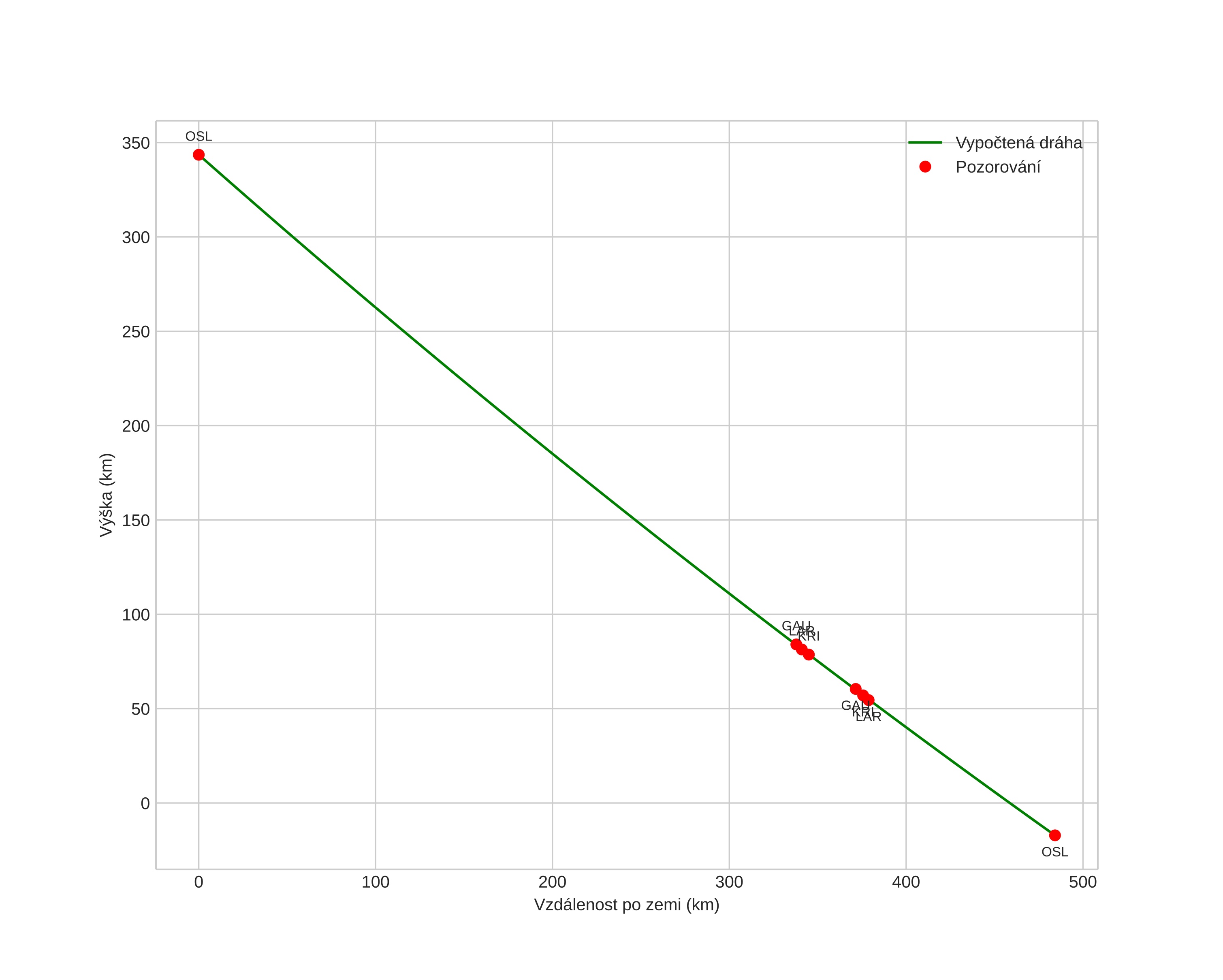
Atmosférická dráha meteoru:
Počáteční výška: 89,2 km
Konečná výška: 54,6 km
Počáteční poloha: 57,244N 8,845E
Konečná poloha: 57,555N 9,426E
Směr: 45,0°
Sklon: 35,2°
VstupnĂ­ rychlost: 21,1 km/s
Rektascenze radiantu: 19:59 (300,0°)
Deklinace radiantu: 5,4°
MeteorickĂ˝ roj: sporadickĂ˝
Elementy dráhy meteoroidu:
Vzdálenost v periheliu: 0,794 AU
Excentricita: 0,726
Sklon dráhy: 13,1°
Délka vzestupného uzlu: 138,1°
Argument perihelia: 241,0°
Střední anomálie: 352,1°
Epocha: 2022 AUG 11 00:41:11
orbit plot

NeinteraktivnĂ­ graf | InteraktivnĂ­ graf

position vs time
speed and acceleration