🇳🇴 🇬🇧 🇩🇪 🇨🇿 🇫🇮

Meteor, poloha: SkĂĄlevik 2022-08-11 01:07:13 UTC

Soubor KML  |  InteraktivnĂ­ mapa

Mapa zobrazuje dráhy meteoru. Světlejší čáry ukazují směry od pozorovacích stanic při objevení se meteoru a tmavší čáry, kde byl naposledy viděn. Modrá šipka značí viditelnou dráhu meteoru.

static map
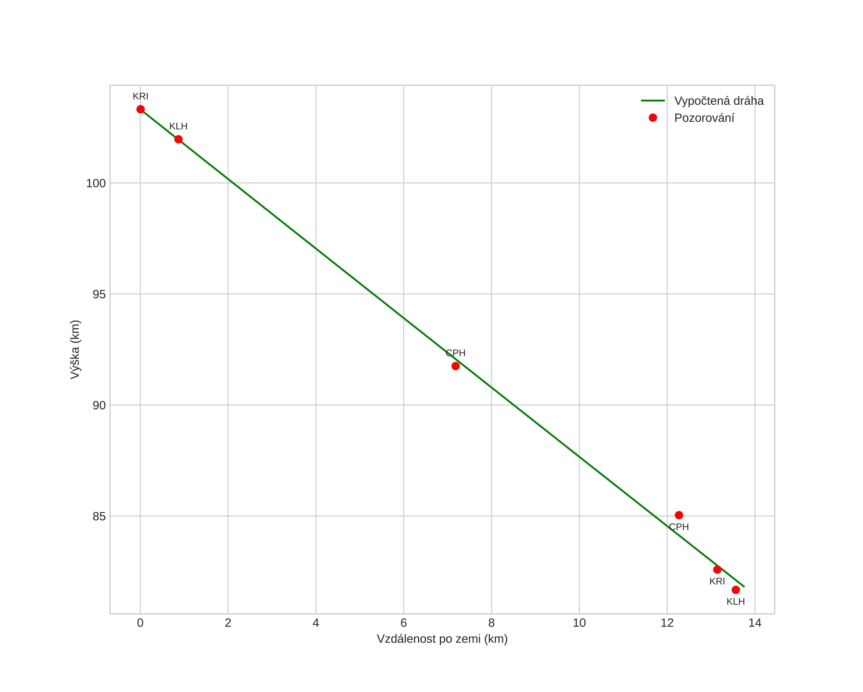
height profile
Atmosférická dráha meteoru:
Počáteční výška: 103,3 km
Konečná výška: 81,8 km
Počáteční poloha: 57,769N 8,544E
Konečná poloha: 57,713N 8,337E
Směr: 243,2°
Sklon: 57,4°
VstupnĂ­ rychlost: 52,0 km/s
Rektascenze radiantu: 03:10 (47,7°)
Deklinace radiantu: 57,2°
MeteorickĂ˝ roj: Perseidy
Elementy dráhy meteoroidu:
Vzdálenost v periheliu: 0,861 AU
Excentricita: 0,411
Sklon dráhy: 106,9°
Délka vzestupného uzlu: 138,1°
Argument perihelia: 118,9°
Střední anomálie: 26,1°
Epocha: 2022 AUG 11 01:07:13
orbit plot

NeinteraktivnĂ­ graf | InteraktivnĂ­ graf

position vs time
speed and acceleration