🇳🇴 🇬🇧 🇩🇪 🇨🇿 🇫🇮

Meteor, poloha: Bygland 2022-08-11 20:51:48 UTC

Soubor KML  |  InteraktivnĂ­ mapa

Mapa zobrazuje dráhy meteoru. Světlejší čáry ukazují směry od pozorovacích stanic při objevení se meteoru a tmavší čáry, kde byl naposledy viděn. Modrá šipka značí viditelnou dráhu meteoru.

static map
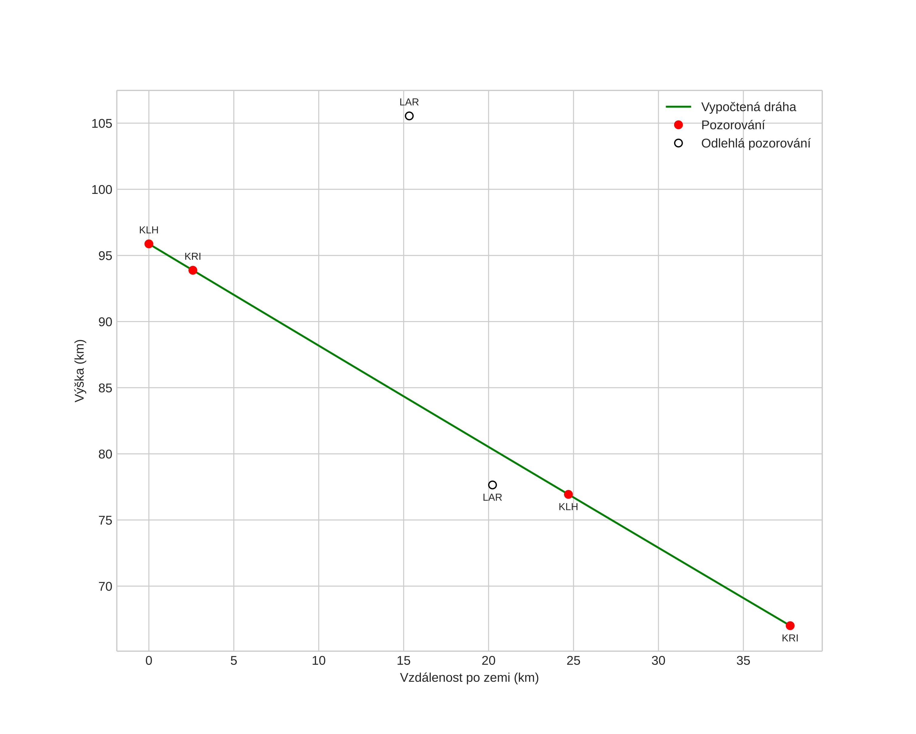
height profile
Atmosférická dráha meteoru:
Počáteční výška: 95,9 km
Konečná výška: 67,0 km
Počáteční poloha: 59,034N 8,349E
Konečná poloha: 58,731N 8,053E
Směr: 206,9°
Sklon: 37,4°
VstupnĂ­ rychlost: 57,4 km/s
Rektascenze radiantu: 03:24 (51,2°)
Deklinace radiantu: 62,0°
MeteorickĂ˝ roj: Perseidy
Elementy dráhy meteoroidu:
Vzdálenost v periheliu: 0,911 AU
Excentricita: 0,916
Sklon dráhy: 105,9°
Délka vzestupného uzlu: 138,9°
Argument perihelia: 142,1°
Střední anomálie: 0,7°
Epocha: 2022 AUG 11 20:51:48
orbit plot

NeinteraktivnĂ­ graf | InteraktivnĂ­ graf

position vs time
speed and acceleration