🇳🇴 🇬🇧 🇩🇪 🇨🇿 🇫🇮

Meteor, poloha: Vennesla 2022-08-11 21:16:15 UTC

Soubor KML  |  InteraktivnĂ­ mapa

Mapa zobrazuje dráhy meteoru. Světlejší čáry ukazují směry od pozorovacích stanic při objevení se meteoru a tmavší čáry, kde byl naposledy viděn. Modrá šipka značí viditelnou dráhu meteoru.

static map
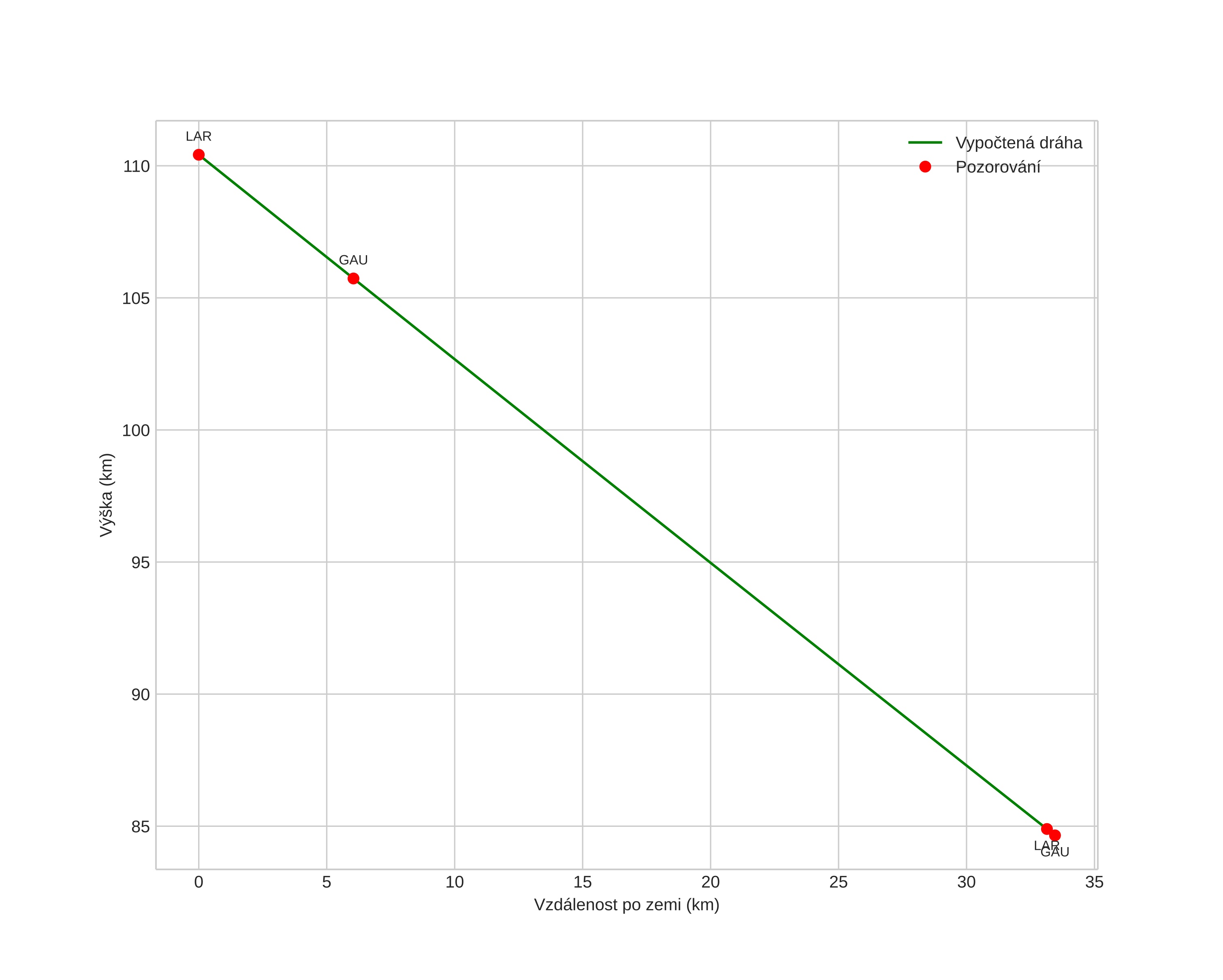
height profile
Atmosférická dráha meteoru:
Počáteční výška: 111,1 km
Konečná výška: 84,6 km
Počáteční poloha: 58,494N 8,358E
Konečná poloha: 58,252N 8,009E
Směr: 217,2°
Sklon: 38,2°
VstupnĂ­ rychlost: 59,7 km/s
Rektascenze radiantu: 02:47 (41,8°)
Deklinace radiantu: 58,3°
MeteorickĂ˝ roj: Perseidy
Elementy dráhy meteoroidu:
Vzdálenost v periheliu: 0,975 AU
Excentricita: 0,935
Sklon dráhy: 111,5°
Délka vzestupného uzlu: 138,9°
Argument perihelia: 157,3°
Střední anomálie: 0,3°
Epocha: 2022 AUG 11 21:16:15
orbit plot

NeinteraktivnĂ­ graf | InteraktivnĂ­ graf

position vs time
speed and acceleration