🇳🇴 🇬🇧 🇩🇪 🇨🇿 🇫🇮

Meteor, poloha: Borup 2022-08-11 21:20:26 UTC

Soubor KML  |  InteraktivnĂ­ mapa

Mapa zobrazuje dráhy meteoru. Světlejší čáry ukazují směry od pozorovacích stanic při objevení se meteoru a tmavší čáry, kde byl naposledy viděn. Modrá šipka značí viditelnou dráhu meteoru.

static map
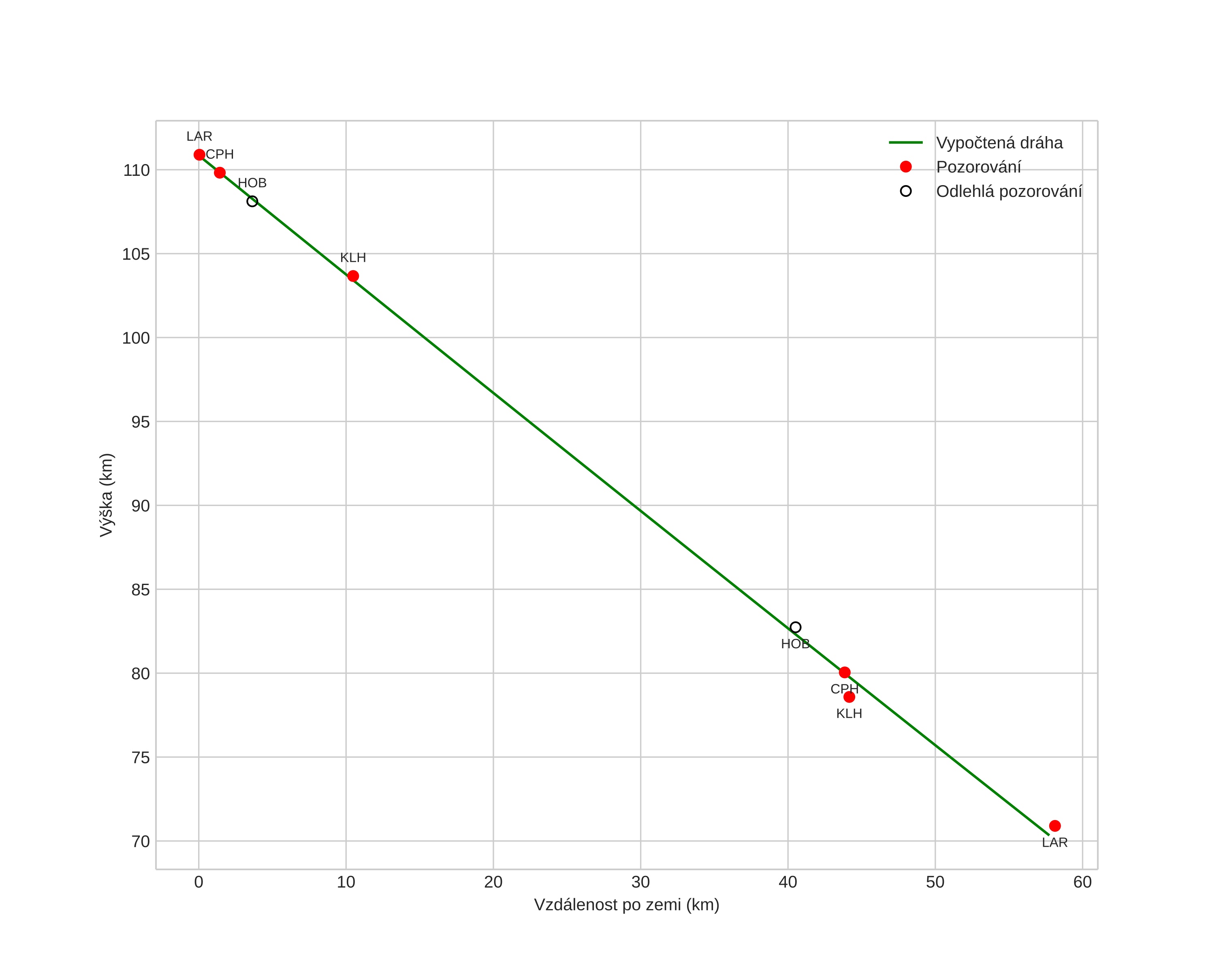
height profile
Atmosférická dráha meteoru:
Počáteční výška: 110,7 km
Konečná výška: 70,2 km
Počáteční poloha: 56,182N 12,135E
Konečná poloha: 55,760N 11,592E
Směr: 216,0°
Sklon: 35,0°
VstupnĂ­ rychlost: 64,9 km/s
Rektascenze radiantu: 03:13 (48,3°)
Deklinace radiantu: 57,5°
MeteorickĂ˝ roj: Perseidy
Elementy dráhy meteoroidu:
Vzdálenost v periheliu: 0,951 AU
Excentricita: 1,330
Sklon dráhy: 116,4°
Délka vzestupného uzlu: 138,9°
Argument perihelia: 153,1°
Střední anomálie: 3,5°
Epocha: 2022 AUG 11 21:20:26
orbit plot

NeinteraktivnĂ­ graf | InteraktivnĂ­ graf

position vs time
speed and acceleration