🇳🇴 🇬🇧 🇩🇪 🇨🇿 🇫🇮

Meteor, poloha: Tranebjerg 2022-08-11 21:52:23 UTC

Soubor KML  |  InteraktivnĂ­ mapa

Mapa zobrazuje dráhy meteoru. Světlejší čáry ukazují směry od pozorovacích stanic při objevení se meteoru a tmavší čáry, kde byl naposledy viděn. Modrá šipka značí viditelnou dráhu meteoru.

static map
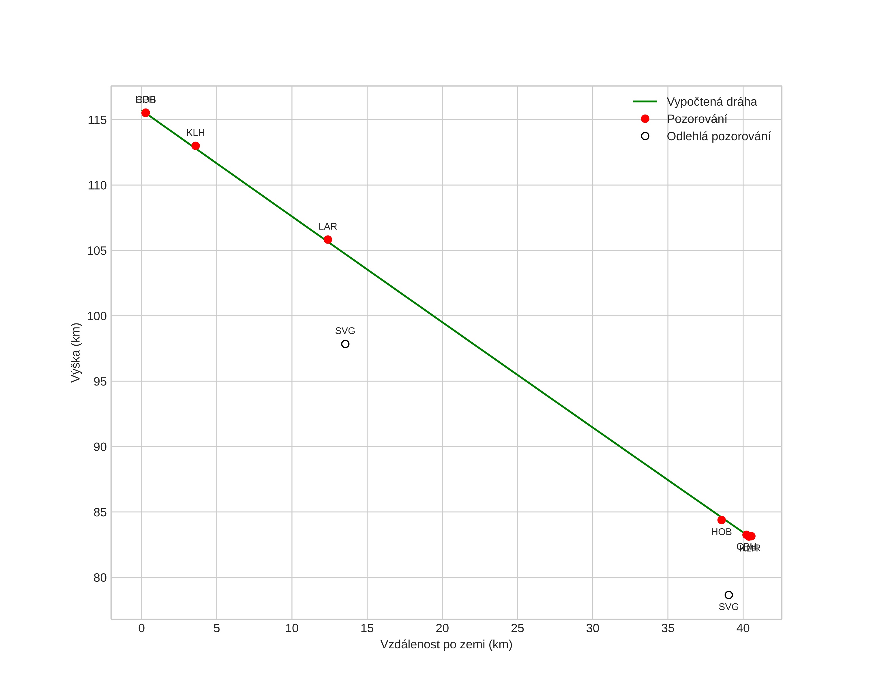
height profile
Atmosférická dráha meteoru:
Počáteční výška: 115,7 km
Konečná výška: 83,0 km
Počáteční poloha: 56,018N 10,835E
Konečná poloha: 55,742N 10,411E
Směr: 220,9°
Sklon: 38,9°
VstupnĂ­ rychlost: 61,5 km/s
Rektascenze radiantu: 02:57 (44,3°)
Deklinace radiantu: 57,9°
MeteorickĂ˝ roj: Perseidy
Elementy dráhy meteoroidu:
Vzdálenost v periheliu: 0,966 AU
Excentricita: 1,058
Sklon dráhy: 113,5°
Délka vzestupného uzlu: 138,9°
Argument perihelia: 155,4°
Střední anomálie: 0,2°
Epocha: 2022 AUG 11 21:52:23
orbit plot

NeinteraktivnĂ­ graf | InteraktivnĂ­ graf

position vs time
speed and acceleration