🇳🇴 🇬🇧 🇩🇪 🇨🇿 🇫🇮

Meteor, poloha: Lemvig 2022-08-11 22:27:00 UTC

Soubor KML  |  Interaktivní mapa

Mapa zobrazuje dráhy meteoru. Světlejší čáry ukazují směry od pozorovacích stanic při objevení se meteoru a tmavší čáry, kde byl naposledy viděn. Modrá šipka značí viditelnou dráhu meteoru.

static map
height profile
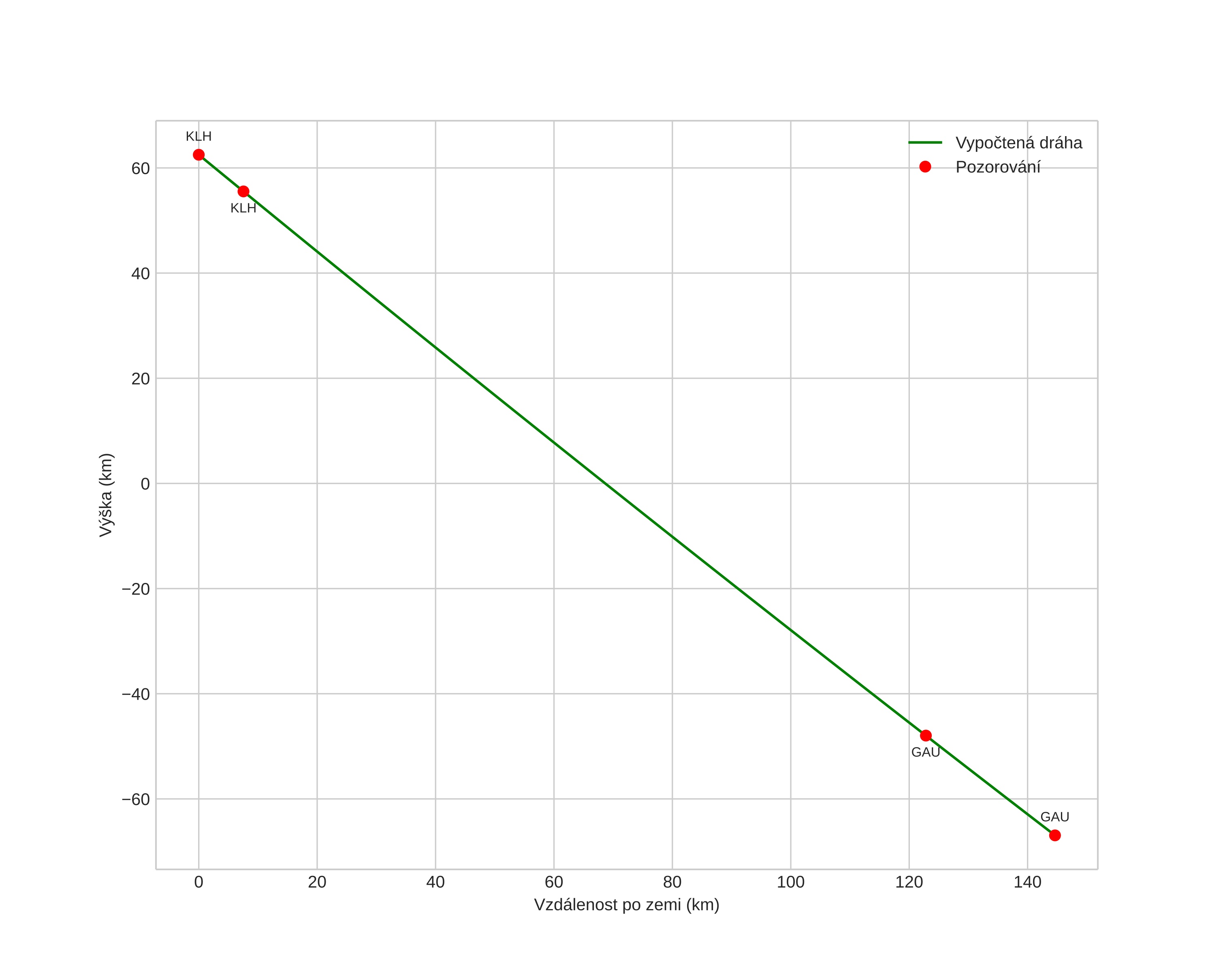
Atmosférická dráha meteoru:
Počáteční výška: 62,6 km
Konečná výška: -69,4 km
Počáteční poloha: 57,422N 10,059E
Konečná poloha: 56,495N 8,321E
Směr: 226,3°
Sklon: 41,8°
orbit plot
position vs time
speed and acceleration