🇳🇴 🇬🇧 🇩🇪 🇨🇿 🇫🇮

Meteor, poloha: Byrum 2022-08-11 22:28:53 UTC

Soubor KML  |  InteraktivnĂ­ mapa

Mapa zobrazuje dráhy meteoru. Světlejší čáry ukazují směry od pozorovacích stanic při objevení se meteoru a tmavší čáry, kde byl naposledy viděn. Modrá šipka značí viditelnou dráhu meteoru.

static map
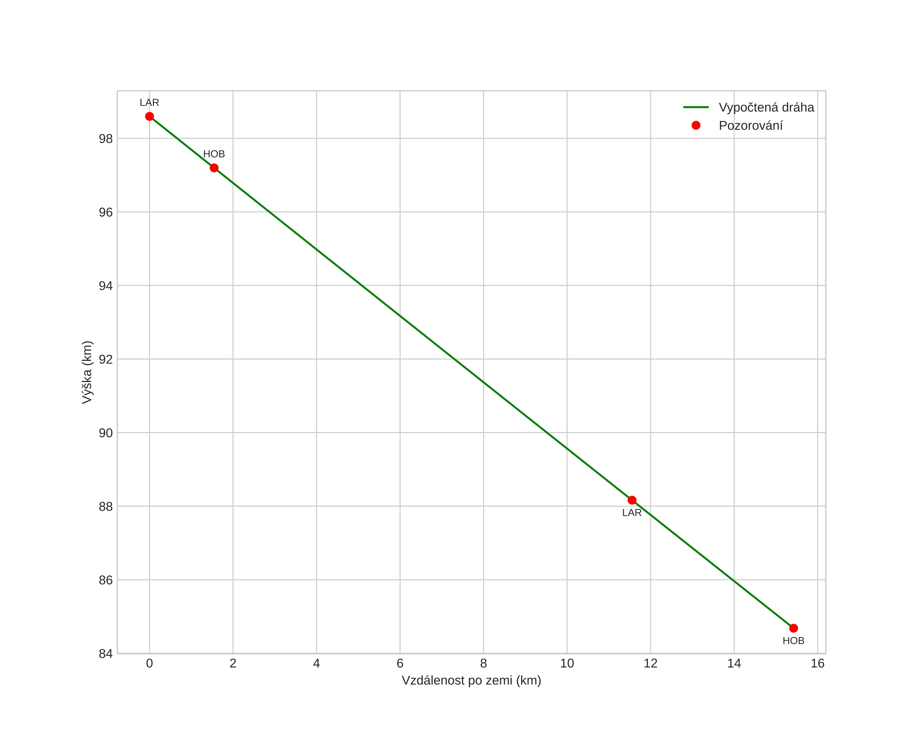
height profile
Atmosférická dráha meteoru:
Počáteční výška: 98,5 km
Konečná výška: 85,8 km
Počáteční poloha: 57,779N 11,314E
Konečná poloha: 57,691N 11,153E
Směr: 224,5°
Sklon: 42,9°
VstupnĂ­ rychlost: 58,3 km/s
Rektascenze radiantu: 03:10 (47,7°)
Deklinace radiantu: 58,5°
MeteorickĂ˝ roj: Perseidy
Elementy dráhy meteoroidu:
Vzdálenost v periheliu: 0,935 AU
Excentricita: 0,829
Sklon dráhy: 110,9°
Délka vzestupného uzlu: 138,9°
Argument perihelia: 145,9°
Střední anomálie: 1,9°
Epocha: 2022 AUG 11 22:28:53
orbit plot

NeinteraktivnĂ­ graf | InteraktivnĂ­ graf

position vs time
speed and acceleration