🇳🇴 🇬🇧 🇩🇪 🇨🇿 🇫🇮

Meteor, poloha: Hurup 2022-08-11 22:47:27 UTC

Soubor KML  |  InteraktivnĂ­ mapa

Mapa zobrazuje dráhy meteoru. Světlejší čáry ukazují směry od pozorovacích stanic při objevení se meteoru a tmavší čáry, kde byl naposledy viděn. Modrá šipka značí viditelnou dráhu meteoru.

static map
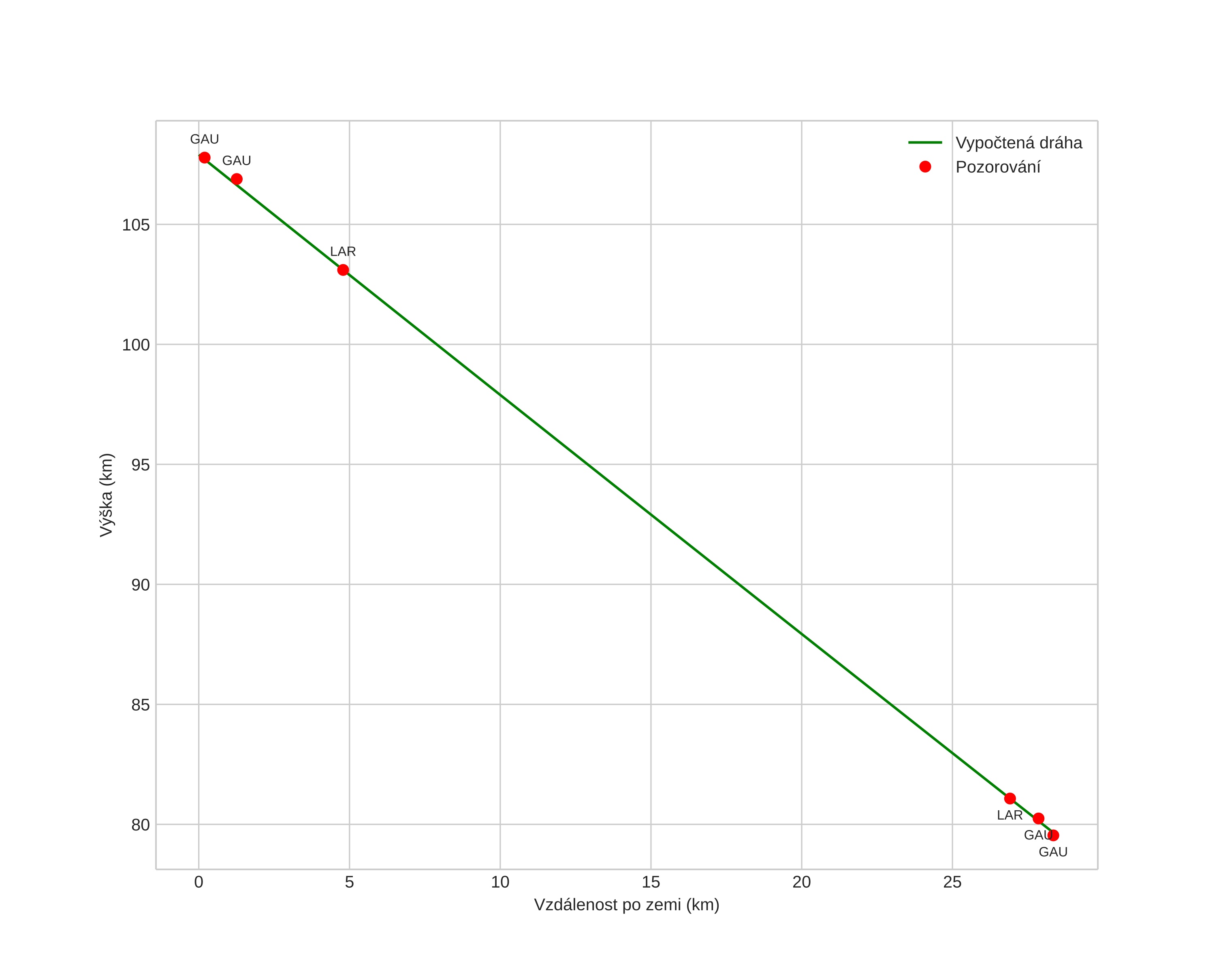
height profile
Atmosférická dráha meteoru:
Počáteční výška: 109,9 km
Konečná výška: 80,2 km
Počáteční poloha: 56,986N 8,736E
Konečná poloha: 56,817N 8,374E
Směr: 229,5°
Sklon: 45,7°
VstupnĂ­ rychlost: 62,4 km/s
Rektascenze radiantu: 02:39 (39,8°)
Deklinace radiantu: 57,8°
MeteorickĂ˝ roj: Perseidy
Elementy dráhy meteoroidu:
Vzdálenost v periheliu: 0,989 AU
Excentricita: 1,146
Sklon dráhy: 113,6°
Délka vzestupného uzlu: 138,9°
Argument perihelia: 162,8°
Střední anomálie: 0,7°
Epocha: 2022 AUG 11 22:47:27
orbit plot

NeinteraktivnĂ­ graf | InteraktivnĂ­ graf

position vs time
speed and acceleration