🇳🇴 🇬🇧 🇩🇪 🇨🇿 🇫🇮

Meteor, poloha: Ă…rsunda 2022-08-11 22:55:43 UTC

Soubor KML  |  InteraktivnĂ­ mapa

Mapa zobrazuje dráhy meteoru. Světlejší čáry ukazují směry od pozorovacích stanic při objevení se meteoru a tmavší čáry, kde byl naposledy viděn. Modrá šipka značí viditelnou dráhu meteoru.

static map
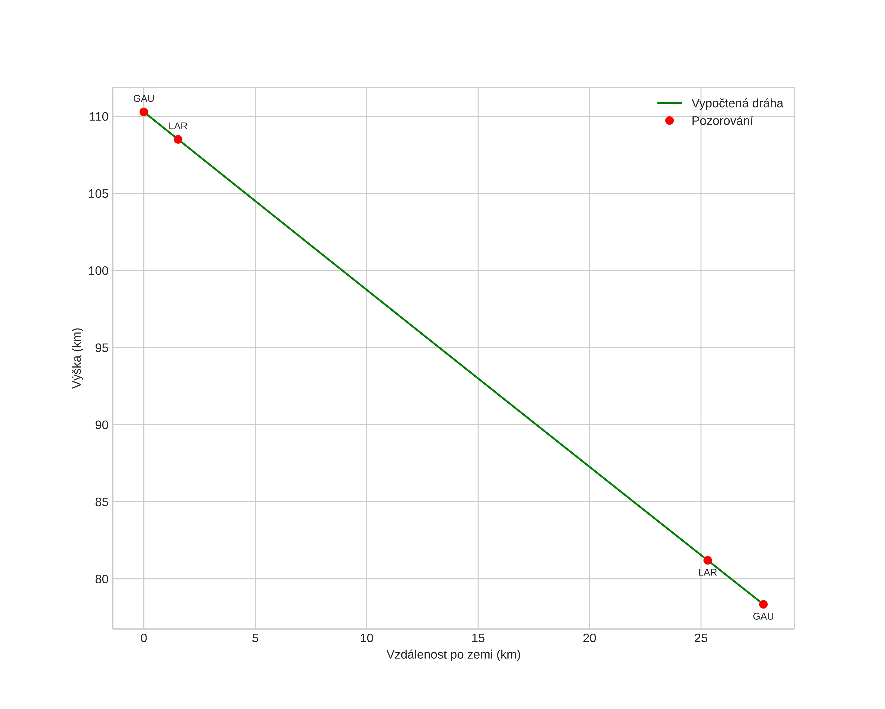
height profile
Atmosférická dráha meteoru:
Počáteční výška: 113,3 km
Konečná výška: 78,4 km
Počáteční poloha: 60,583N 17,148E
Konečná poloha: 60,423N 16,697E
Směr: 234,4°
Sklon: 48,9°
VstupnĂ­ rychlost: 58,9 km/s
Rektascenze radiantu: 03:09 (47,4°)
Deklinace radiantu: 57,4°
MeteorickĂ˝ roj: Perseidy
Elementy dráhy meteoroidu:
Vzdálenost v periheliu: 0,939 AU
Excentricita: 0,830
Sklon dráhy: 112,7°
Délka vzestupného uzlu: 138,9°
Argument perihelia: 146,8°
Střední anomálie: 1,8°
Epocha: 2022 AUG 11 22:55:43
orbit plot

NeinteraktivnĂ­ graf | InteraktivnĂ­ graf

position vs time
speed and acceleration