🇳🇴 🇬🇧 🇩🇪 🇨🇿 🇫🇮

Meteor, poloha: Vestbygd 2022-08-11 23:19:53 UTC

Soubor KML  |  InteraktivnĂ­ mapa

Mapa zobrazuje dráhy meteoru. Světlejší čáry ukazují směry od pozorovacích stanic při objevení se meteoru a tmavší čáry, kde byl naposledy viděn. Modrá šipka značí viditelnou dráhu meteoru.

static map
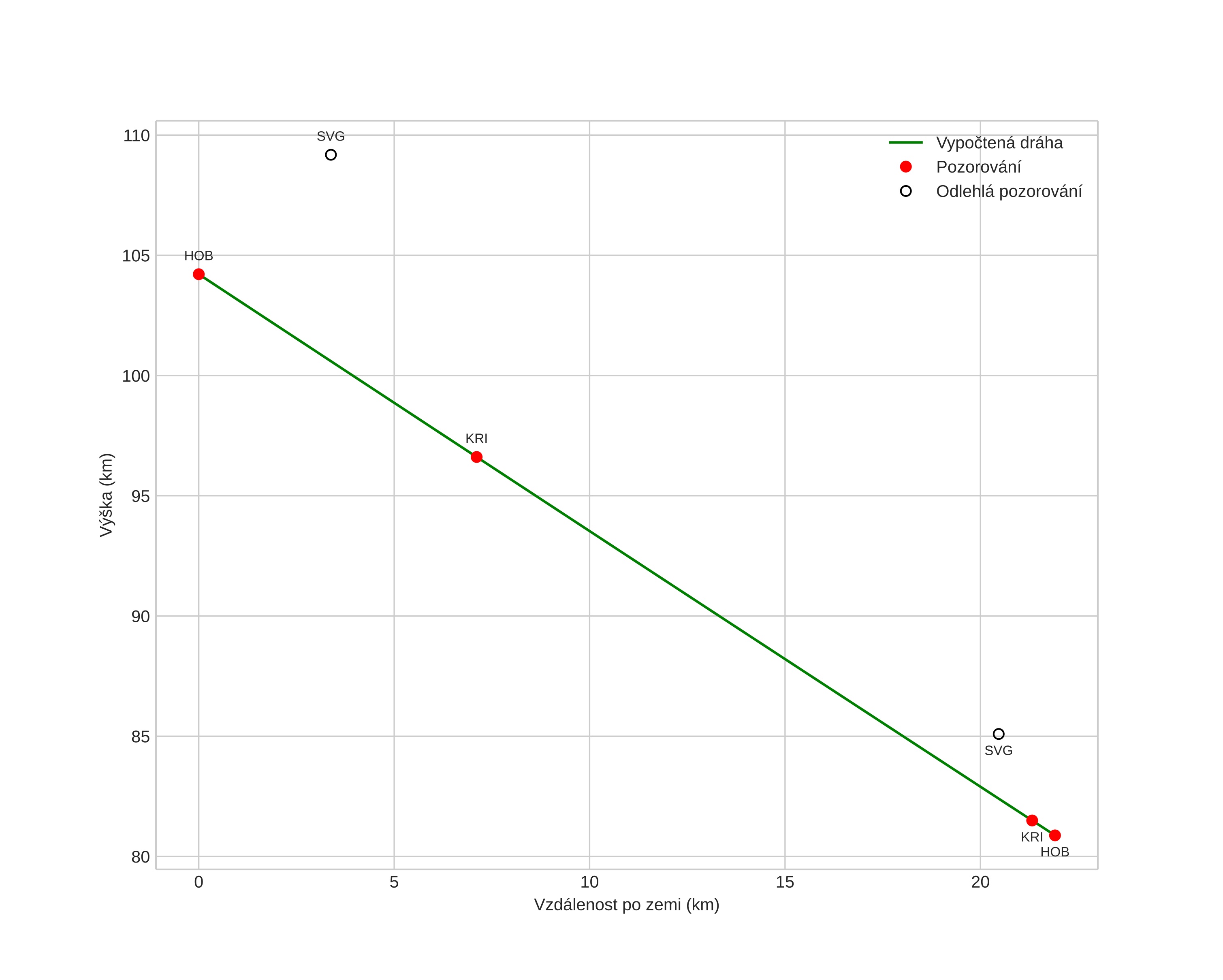
height profile
Atmosférická dráha meteoru:
Počáteční výška: 104,2 km
Konečná výška: 80,9 km
Počáteční poloha: 56,279N 6,284E
Konečná poloha: 56,144N 6,026E
Směr: 227,0°
Sklon: 46,8°
VstupnĂ­ rychlost: 55,2 km/s
Rektascenze radiantu: 02:59 (44,8°)
Deklinace radiantu: 59,7°
MeteorickĂ˝ roj: Perseidy
Elementy dráhy meteoroidu:
Vzdálenost v periheliu: 0,942 AU
Excentricita: 0,655
Sklon dráhy: 106,7°
Délka vzestupného uzlu: 139,0°
Argument perihelia: 145,3°
Střední anomálie: 5,8°
Epocha: 2022 AUG 11 23:19:53
orbit plot

NeinteraktivnĂ­ graf | InteraktivnĂ­ graf

position vs time
speed and acceleration