🇳🇴 🇬🇧 🇩🇪 🇨🇿 🇫🇮

Meteor, poloha: Hanstholm 2022-08-11 23:33:59 UTC

Soubor KML  |  InteraktivnĂ­ mapa

Mapa zobrazuje dráhy meteoru. Světlejší čáry ukazují směry od pozorovacích stanic při objevení se meteoru a tmavší čáry, kde byl naposledy viděn. Modrá šipka značí viditelnou dráhu meteoru.

static map
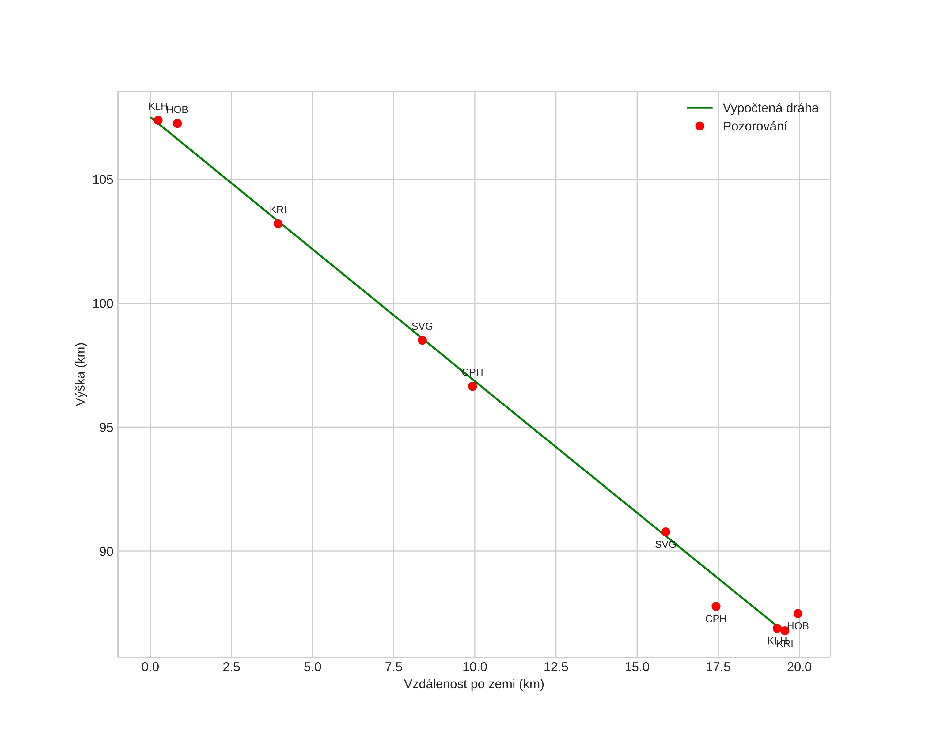
height profile
Atmosférická dráha meteoru:
Počáteční výška: 107,5 km
Konečná výška: 86,7 km
Počáteční poloha: 57,653N 8,800E
Konečná poloha: 57,539N 8,550E
Směr: 229,7°
Sklon: 46,8°
VstupnĂ­ rychlost: 59,1 km/s
Rektascenze radiantu: 03:23 (50,8°)
Deklinace radiantu: 58,3°
MeteorickĂ˝ roj: Perseidy
Elementy dráhy meteoroidu:
Vzdálenost v periheliu: 0,914 AU
Excentricita: 0,891
Sklon dráhy: 111,8°
Délka vzestupného uzlu: 139,0°
Argument perihelia: 142,4°
Střední anomálie: 1,1°
Epocha: 2022 AUG 11 23:33:59
orbit plot

NeinteraktivnĂ­ graf | InteraktivnĂ­ graf

position vs time
speed and acceleration