🇳🇴 🇬🇧 🇩🇪 🇨🇿 🇫🇮

Meteor, poloha: Mandal 2022-08-12 00:02:28 UTC

Soubor KML  |  InteraktivnĂ­ mapa

Mapa zobrazuje dráhy meteoru. Světlejší čáry ukazují směry od pozorovacích stanic při objevení se meteoru a tmavší čáry, kde byl naposledy viděn. Modrá šipka značí viditelnou dráhu meteoru.

static map
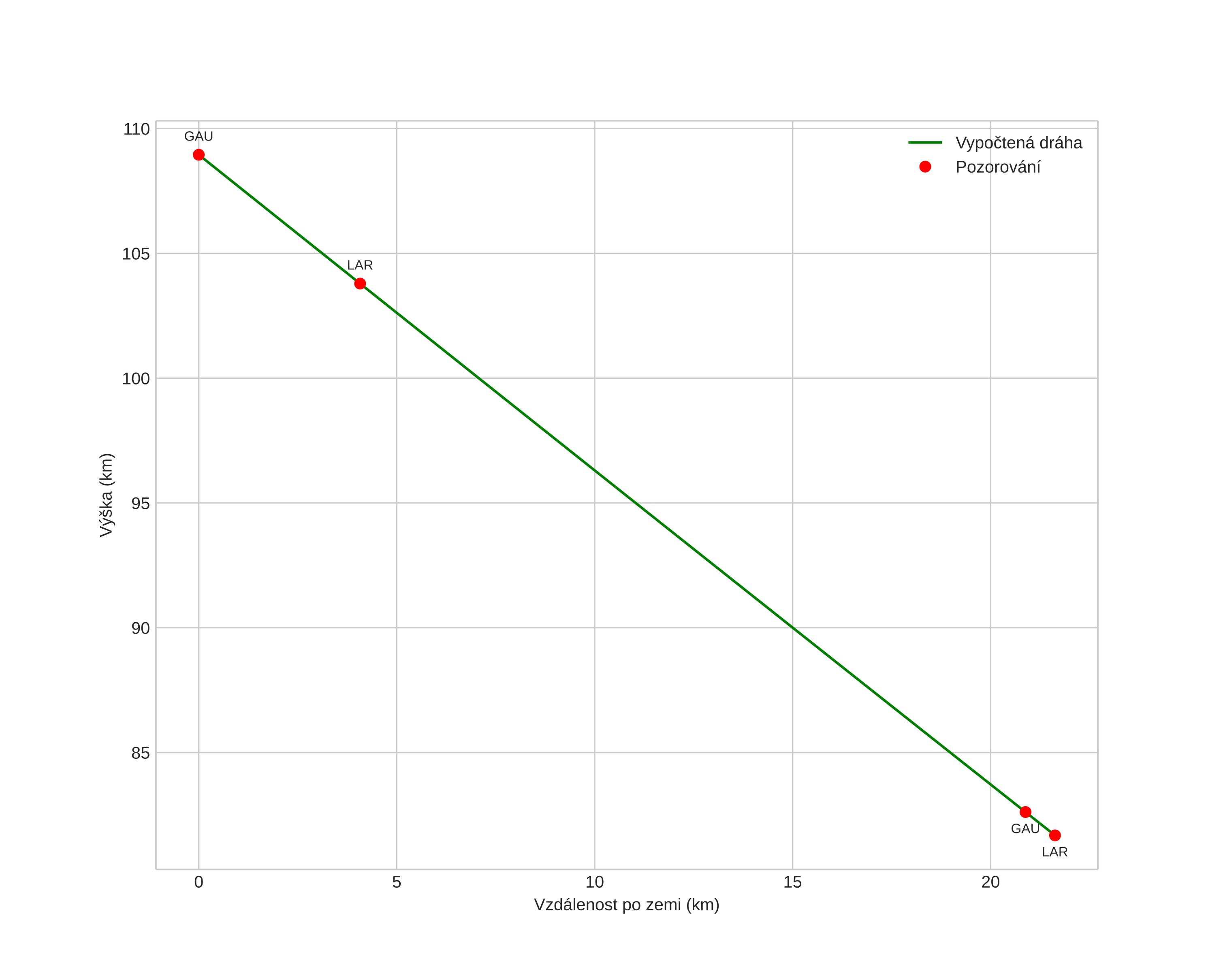
height profile
Atmosférická dráha meteoru:
Počáteční výška: 108,8 km
Konečná výška: 82,2 km
Počáteční poloha: 57,637N 7,617E
Konečná poloha: 57,528N 7,318E
Směr: 235,8°
Sklon: 50,9°
VstupnĂ­ rychlost: 62,5 km/s
Rektascenze radiantu: 03:03 (45,8°)
Deklinace radiantu: 57,6°
MeteorickĂ˝ roj: Perseidy
Elementy dráhy meteoroidu:
Vzdálenost v periheliu: 0,961 AU
Excentricita: 1,124
Sklon dráhy: 114,7°
Délka vzestupného uzlu: 139,0°
Argument perihelia: 154,4°
Střední anomálie: 0,8°
Epocha: 2022 AUG 12 00:02:28
orbit plot

NeinteraktivnĂ­ graf | InteraktivnĂ­ graf

position vs time
speed and acceleration