🇳🇴 🇬🇧 🇩🇪 🇨🇿 🇫🇮

Meteor, poloha: Valle 2022-08-12 00:16:23 UTC

Soubor KML  |  InteraktivnĂ­ mapa

Mapa zobrazuje dráhy meteoru. Světlejší čáry ukazují směry od pozorovacích stanic při objevení se meteoru a tmavší čáry, kde byl naposledy viděn. Modrá šipka značí viditelnou dráhu meteoru.

static map
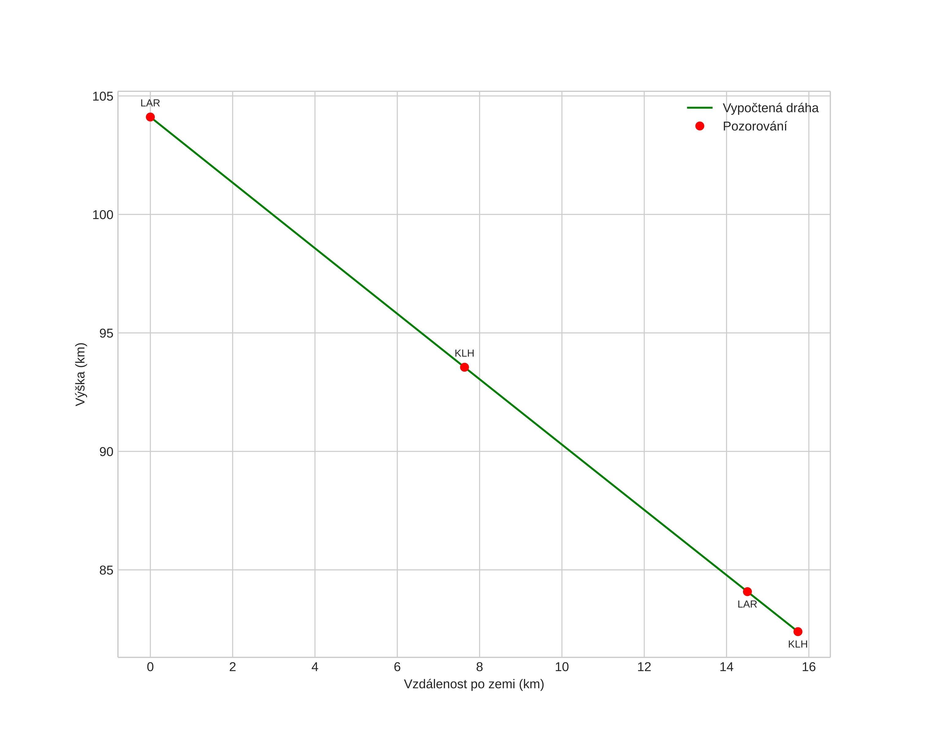
height profile
Atmosférická dráha meteoru:
Počáteční výška: 104,1 km
Konečná výška: 82,4 km
Počáteční poloha: 59,231N 7,988E
Konečná poloha: 59,155N 7,754E
Směr: 238,0°
Sklon: 54,0°
VstupnĂ­ rychlost: 62,3 km/s
Rektascenze radiantu: 03:03 (45,8°)
Deklinace radiantu: 58,6°
MeteorickĂ˝ roj: Perseidy
Elementy dráhy meteoroidu:
Vzdálenost v periheliu: 0,960 AU
Excentricita: 1,151
Sklon dráhy: 113,3°
Délka vzestupného uzlu: 139,0°
Argument perihelia: 154,4°
Střední anomálie: 1,1°
Epocha: 2022 AUG 12 00:16:23
orbit plot

NeinteraktivnĂ­ graf | InteraktivnĂ­ graf

position vs time
speed and acceleration