🇳🇴 🇬🇧 🇩🇪 🇨🇿 🇫🇮

Meteor, poloha: Juelsminde 2022-08-12 00:30:02 UTC

Soubor KML  |  InteraktivnĂ­ mapa

Mapa zobrazuje dráhy meteoru. Světlejší čáry ukazují směry od pozorovacích stanic při objevení se meteoru a tmavší čáry, kde byl naposledy viděn. Modrá šipka značí viditelnou dráhu meteoru.

static map
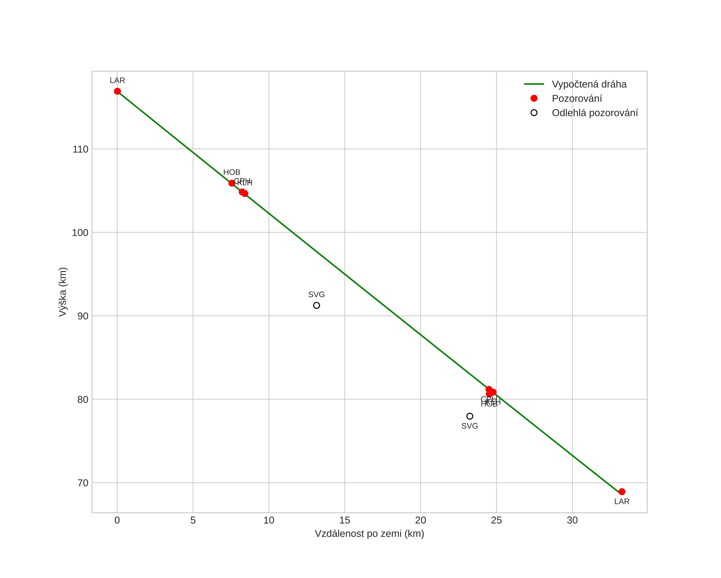
height profile
Atmosférická dráha meteoru:
Počáteční výška: 116,9 km
Konečná výška: 69,0 km
Počáteční poloha: 55,757N 10,387E
Konečná poloha: 55,609N 9,932E
Směr: 240,2°
Sklon: 55,5°
VstupnĂ­ rychlost: 61,4 km/s
Rektascenze radiantu: 02:51 (42,8°)
Deklinace radiantu: 56,9°
MeteorickĂ˝ roj: Perseidy
Elementy dráhy meteoroidu:
Vzdálenost v periheliu: 0,976 AU
Excentricita: 1,008
Sklon dráhy: 114,5°
Délka vzestupného uzlu: 139,0°
Argument perihelia: 157,8°
Střední anomálie: 0,0°
Epocha: 2022 AUG 12 00:30:02
orbit plot

NeinteraktivnĂ­ graf | InteraktivnĂ­ graf

position vs time
speed and acceleration