🇳🇴 🇬🇧 🇩🇪 🇨🇿 🇫🇮

Meteor, poloha: Florø 2022-08-12 00:39:29 UTC

Soubor KML  |  InteraktivnĂ­ mapa

Mapa zobrazuje dráhy meteoru. Světlejší čáry ukazují směry od pozorovacích stanic při objevení se meteoru a tmavší čáry, kde byl naposledy viděn. Modrá šipka značí viditelnou dráhu meteoru.

static map
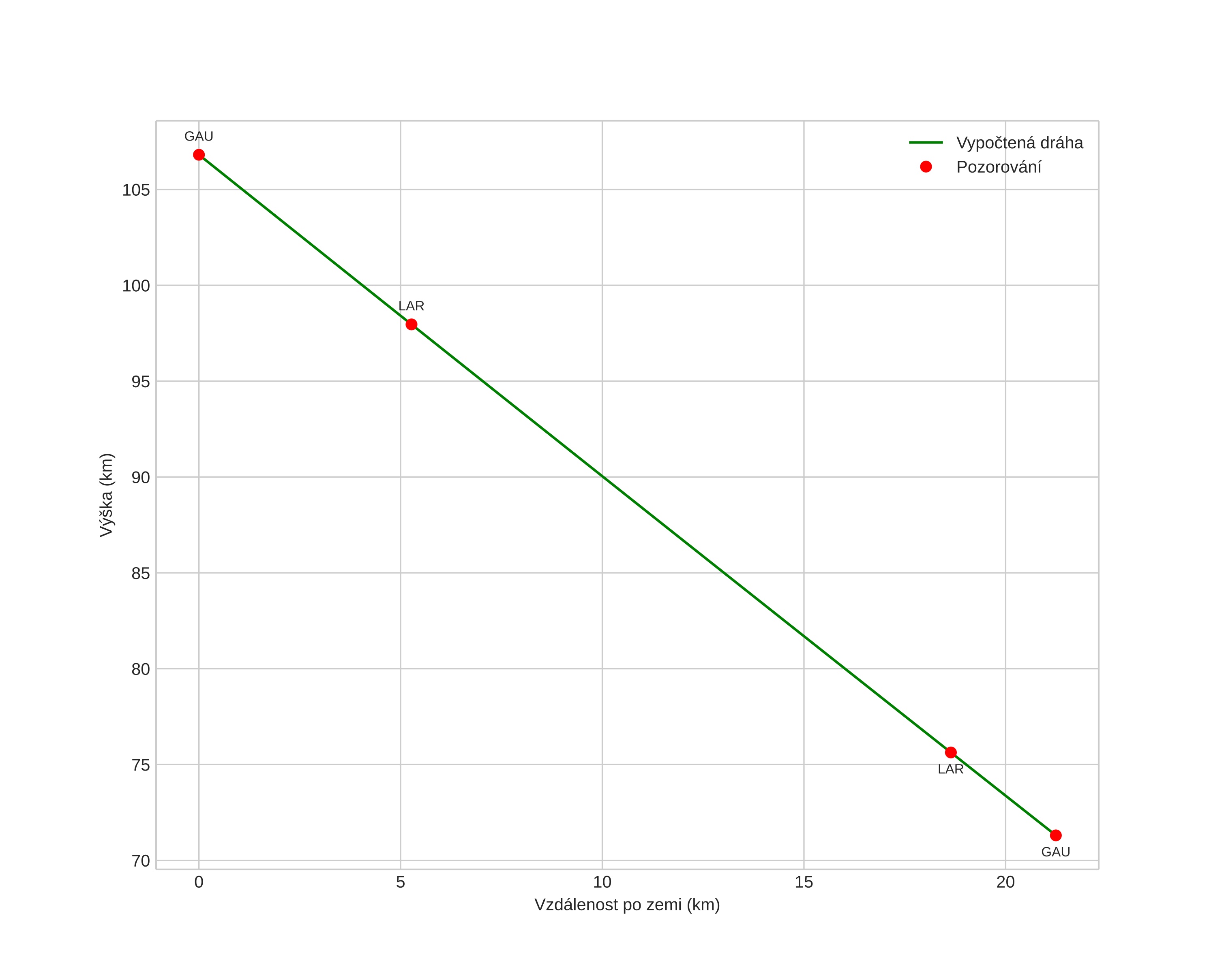
height profile
Atmosférická dráha meteoru:
Počáteční výška: 111,2 km
Konečná výška: 72,0 km
Počáteční poloha: 61,643N 5,335E
Konečná poloha: 61,493N 5,044E
Směr: 222,8°
Sklon: 59,9°
VstupnĂ­ rychlost: 69,1 km/s
Rektascenze radiantu: 03:23 (50,8°)
Deklinace radiantu: 69,4°
MeteorickĂ˝ roj: sporadickĂ˝
Elementy dráhy meteoroidu:
Vzdálenost v periheliu: 0,952 AU
Excentricita: 2,375
Sklon dráhy: 103,9°
Délka vzestupného uzlu: 139,0°
Argument perihelia: 156,0°
Střední anomálie: 22,0°
Epocha: 2022 AUG 12 00:39:29
orbit plot

NeinteraktivnĂ­ graf | InteraktivnĂ­ graf

position vs time
speed and acceleration