🇳🇴 🇬🇧 🇩🇪 🇨🇿 🇫🇮

Meteor, poloha: Langesund 2022-08-12 00:48:11 UTC

Soubor KML  |  InteraktivnĂ­ mapa

Mapa zobrazuje dráhy meteoru. Světlejší čáry ukazují směry od pozorovacích stanic při objevení se meteoru a tmavší čáry, kde byl naposledy viděn. Modrá šipka značí viditelnou dráhu meteoru.

static map
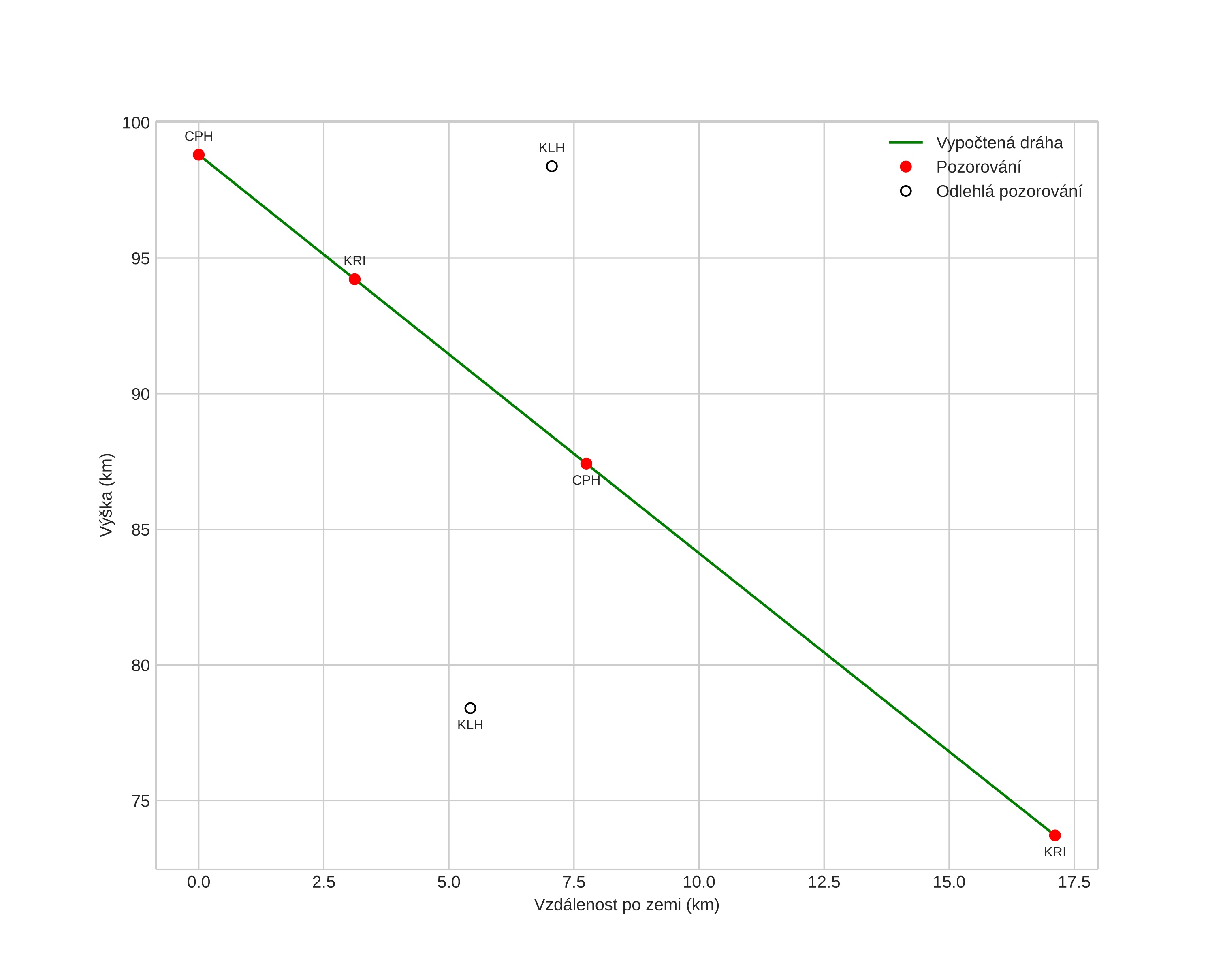
height profile
Atmosférická dráha meteoru:
Počáteční výška: 98,8 km
Konečná výška: 73,7 km
Počáteční poloha: 58,982N 9,995E
Konečná poloha: 58,914N 9,728E
Směr: 243,7°
Sklon: 55,7°
VstupnĂ­ rychlost: 50,7 km/s
Rektascenze radiantu: 03:18 (49,5°)
Deklinace radiantu: 56,6°
MeteorickĂ˝ roj: Perseidy
Elementy dráhy meteoroidu:
Vzdálenost v periheliu: 0,819 AU
Excentricita: 0,350
Sklon dráhy: 106,7°
Délka vzestupného uzlu: 139,0°
Argument perihelia: 105,0°
Střední anomálie: 39,5°
Epocha: 2022 AUG 12 00:48:11
orbit plot

NeinteraktivnĂ­ graf | InteraktivnĂ­ graf

position vs time
speed and acceleration