🇳🇴 🇬🇧 🇩🇪 🇨🇿 🇫🇮

Meteor, poloha: Skagen 2022-08-12 01:53:41 UTC

Soubor KML  |  InteraktivnĂ­ mapa

Mapa zobrazuje dráhy meteoru. Světlejší čáry ukazují směry od pozorovacích stanic při objevení se meteoru a tmavší čáry, kde byl naposledy viděn. Modrá šipka značí viditelnou dráhu meteoru.

static map
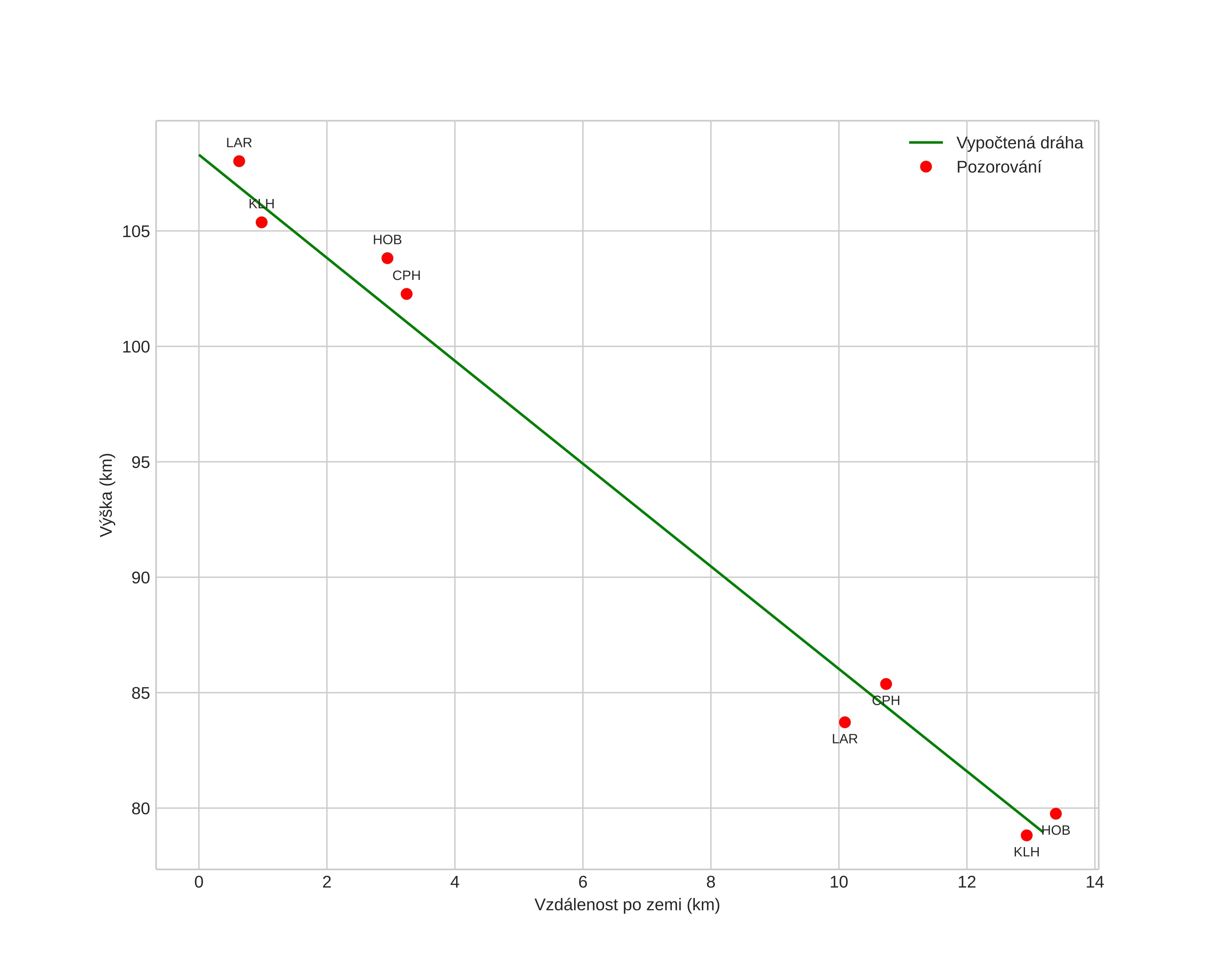
height profile
Atmosférická dráha meteoru:
Počáteční výška: 107,9 km
Konečná výška: 78,6 km
Počáteční poloha: 57,772N 11,195E
Konečná poloha: 57,722N 10,990E
Směr: 245,7°
Sklon: 65,5°
VstupnĂ­ rychlost: 62,2 km/s
Rektascenze radiantu: 03:09 (47,5°)
Deklinace radiantu: 59,3°
MeteorickĂ˝ roj: Perseidy
Elementy dráhy meteoroidu:
Vzdálenost v periheliu: 0,951 AU
Excentricita: 1,172
Sklon dráhy: 112,5°
Délka vzestupného uzlu: 139,1°
Argument perihelia: 152,3°
Střední anomálie: 1,4°
Epocha: 2022 AUG 12 01:53:41
orbit plot

NeinteraktivnĂ­ graf | InteraktivnĂ­ graf

position vs time
speed and acceleration