🇳🇴 🇬🇧 🇩🇪 🇨🇿 🇫🇮

Meteor, poloha: Byrum 2022-08-12 21:06:22 UTC

Soubor KML  |  InteraktivnĂ­ mapa

Mapa zobrazuje dráhy meteoru. Světlejší čáry ukazují směry od pozorovacích stanic při objevení se meteoru a tmavší čáry, kde byl naposledy viděn. Modrá šipka značí viditelnou dráhu meteoru.

static map
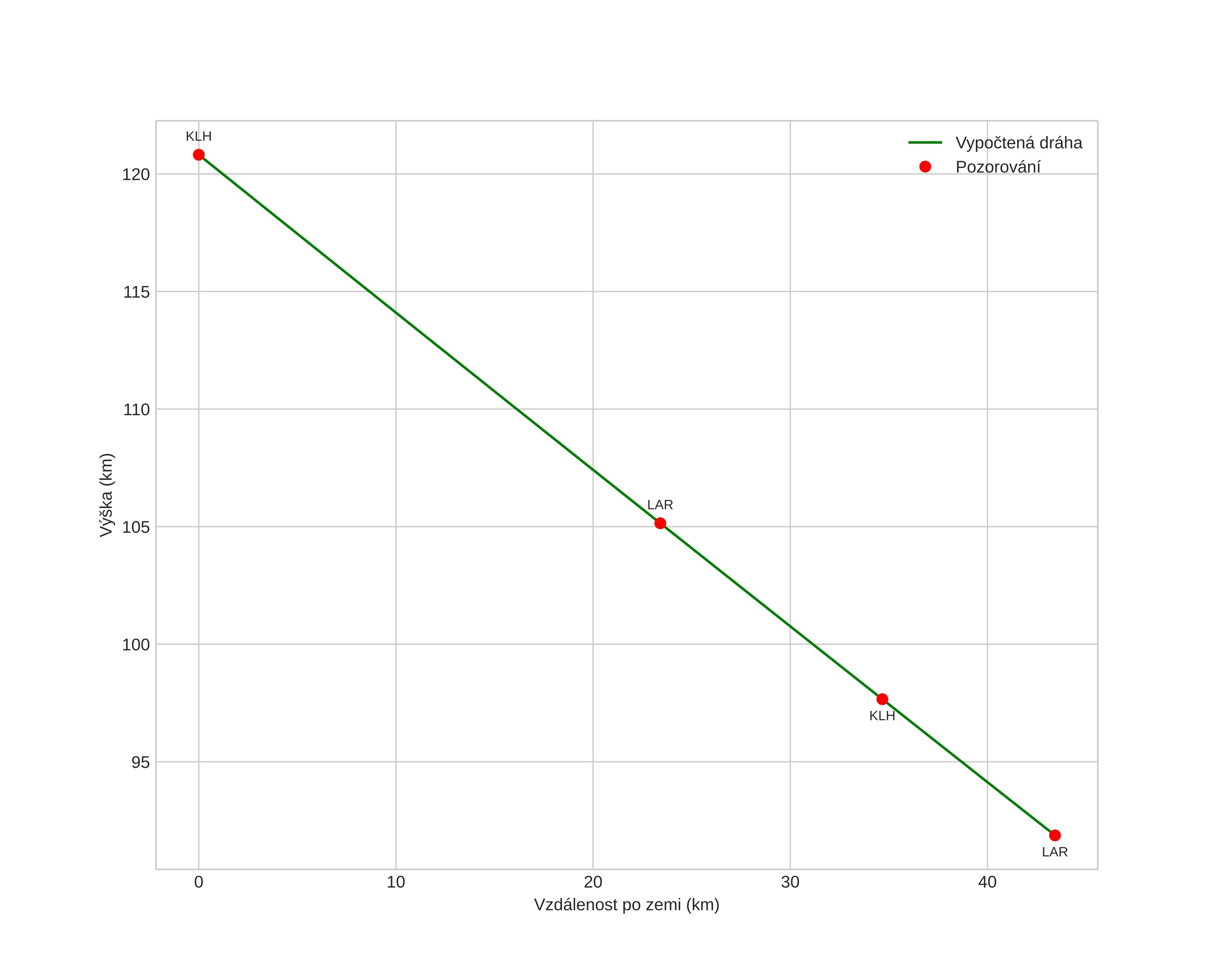
height profile
Atmosférická dráha meteoru:
Počáteční výška: 127,3 km
Konečná výška: 92,1 km
Počáteční poloha: 57,160N 11,589E
Konečná poloha: 56,828N 11,143E
Směr: 216,4°
Sklon: 37,6°
VstupnĂ­ rychlost: 72,3 km/s
Rektascenze radiantu: 02:51 (43,0°)
Deklinace radiantu: 59,0°
MeteorickĂ˝ roj: sporadickĂ˝
Elementy dráhy meteoroidu:
Vzdálenost v periheliu: 0,988 AU
Excentricita: 2,167
Sklon dráhy: 117,6°
Délka vzestupného uzlu: 139,8°
Argument perihelia: 164,6°
Střední anomálie: 11,1°
Epocha: 2022 AUG 12 21:06:22
orbit plot

NeinteraktivnĂ­ graf | InteraktivnĂ­ graf

position vs time
speed and acceleration