🇳🇴 🇬🇧 🇩🇪 🇨🇿 🇫🇮

Meteor, poloha: Byrum 2022-08-12 21:06:23 UTC

Soubor KML  |  Interaktivní mapa

Mapa zobrazuje dráhy meteoru. Světlejší čáry ukazují směry od pozorovacích stanic při objevení se meteoru a tmavší čáry, kde byl naposledy viděn. Modrá šipka značí viditelnou dráhu meteoru.

static map
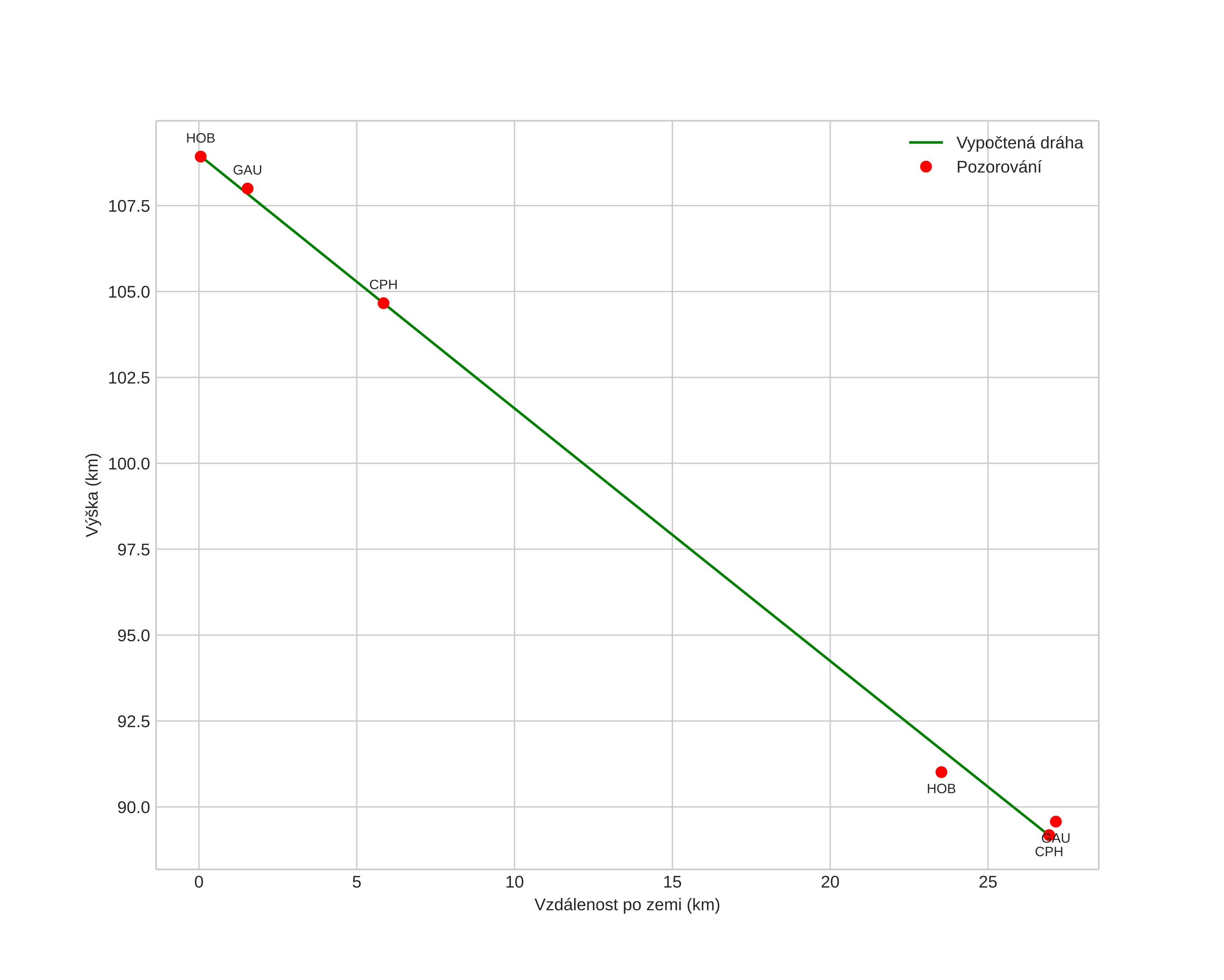
height profile
Atmosférická dráha meteoru:
Počáteční výška: 108,9 km
Konečná výška: 89,2 km
Počáteční poloha: 57,147N 11,350E
Konečná poloha: 56,947N 11,100E
Směr: 214,4°
Sklon: 36,2°
Vstupní rychlost: 57,9 km/s
Rektascenze radiantu: 03:08 (47,1°)
Deklinace radiantu: 58,7°
Meteorický roj: Perseidy
Elementy dráhy meteoroidu:
Vzdálenost v periheliu: 0,945 AU
Excentricita: 0,793
Sklon dráhy: 110,4°
Délka vzestupného uzlu: 139,8°
Argument perihelia: 148,1°
Střední anomálie: 2,4°
Epocha: 2022 AUG 12 21:06:23
orbit plot

Neinteraktivní graf | Interaktivní graf

position vs time
speed and acceleration