🇳🇴 🇬🇧 🇩🇪 🇨🇿 🇫🇮

Meteor, poloha: Ørje 2022-08-12 21:07:19 UTC

Soubor KML  |  Interaktivní mapa

Mapa zobrazuje dráhy meteoru. Světlejší čáry ukazují směry od pozorovacích stanic při objevení se meteoru a tmavší čáry, kde byl naposledy viděn. Modrá šipka značí viditelnou dráhu meteoru.

static map
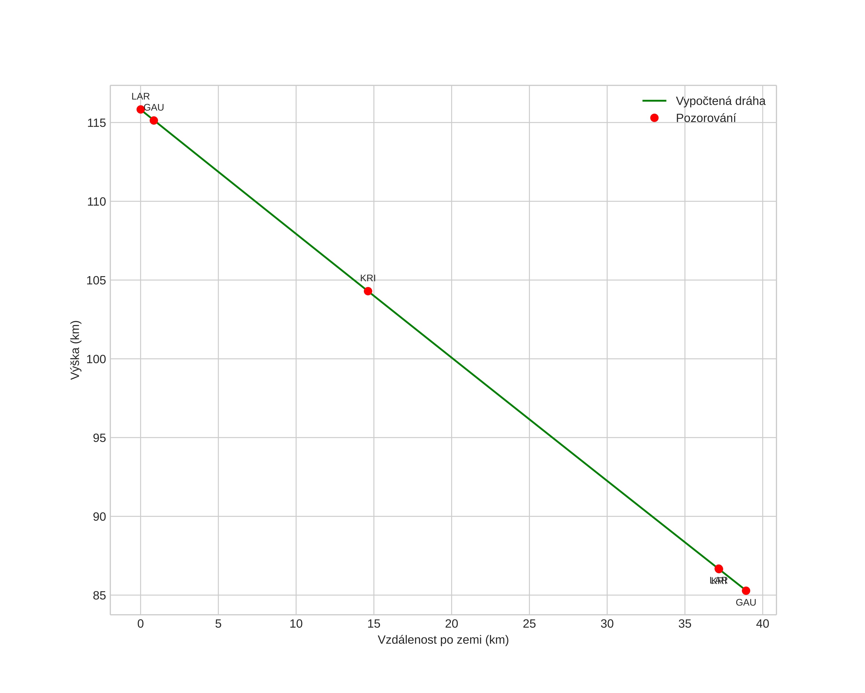
height profile
Atmosférická dráha meteoru:
Počáteční výška: 115,9 km
Konečná výška: 85,3 km
Počáteční poloha: 59,854N 12,060E
Konečná poloha: 59,571N 11,650E
Směr: 216,2°
Sklon: 38,1°
Vstupní rychlost: 60,3 km/s
Rektascenze radiantu: 03:09 (47,5°)
Deklinace radiantu: 58,2°
Meteorický roj: Perseidy
Elementy dráhy meteoroidu:
Vzdálenost v periheliu: 0,952 AU
Excentricita: 0,959
Sklon dráhy: 112,9°
Délka vzestupného uzlu: 139,8°
Argument perihelia: 151,2°
Střední anomálie: 0,2°
Epocha: 2022 AUG 12 21:07:19
orbit plot

Neinteraktivní graf | Interaktivní graf

position vs time
speed and acceleration