🇳🇴 🇬🇧 🇩🇪 🇨🇿 🇫🇮

Meteor, poloha: Justvik 2022-08-12 21:32:44 UTC

Soubor KML  |  InteraktivnĂ­ mapa

Mapa zobrazuje dráhy meteoru. Světlejší čáry ukazují směry od pozorovacích stanic při objevení se meteoru a tmavší čáry, kde byl naposledy viděn. Modrá šipka značí viditelnou dráhu meteoru.

static map
height profile
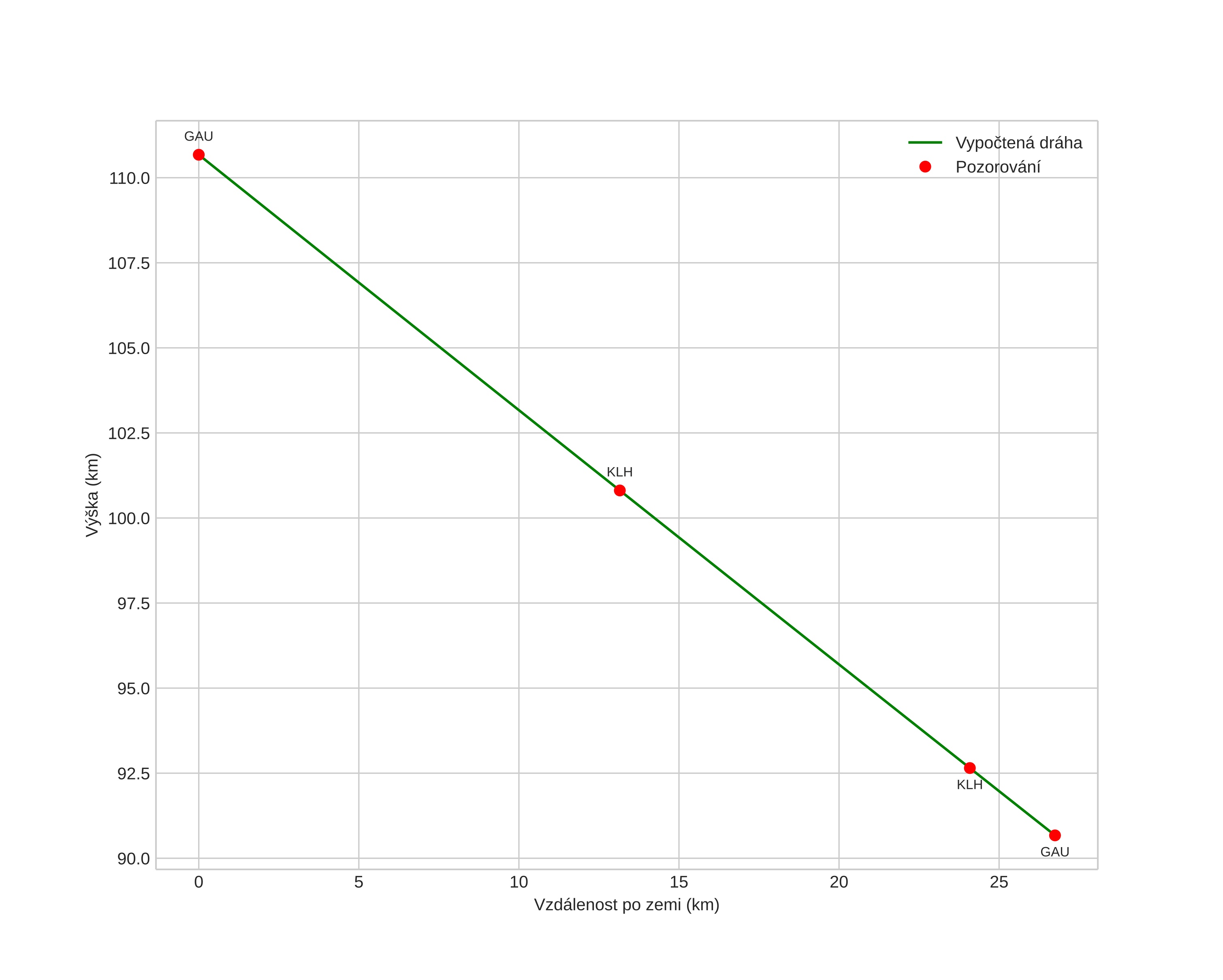
Atmosférická dráha meteoru:
Počáteční výška: 110,0 km
Konečná výška: 90,5 km
Počáteční poloha: 58,398N 8,323E
Konečná poloha: 58,212N 8,047E
Směr: 218,1°
Sklon: 36,7°
VstupnĂ­ rychlost: 66,4 km/s
Rektascenze radiantu: 03:08 (47,2°)
Deklinace radiantu: 56,8°
MeteorickĂ˝ roj: Perseidy
Elementy dráhy meteoroidu:
Vzdálenost v periheliu: 0,968 AU
Excentricita: 1,430
Sklon dráhy: 118,2°
Délka vzestupného uzlu: 139,8°
Argument perihelia: 157,4°
Střední anomálie: 4,2°
Epocha: 2022 AUG 12 21:32:44
orbit plot

NeinteraktivnĂ­ graf | InteraktivnĂ­ graf

position vs time
speed and acceleration