🇳🇴 🇬🇧 🇩🇪 🇨🇿 🇫🇮

Meteor, poloha: Ă…mot 2022-08-12 21:33:06 UTC

Soubor KML  |  InteraktivnĂ­ mapa

Mapa zobrazuje dráhy meteoru. Světlejší čáry ukazují směry od pozorovacích stanic při objevení se meteoru a tmavší čáry, kde byl naposledy viděn. Modrá šipka značí viditelnou dráhu meteoru.

static map
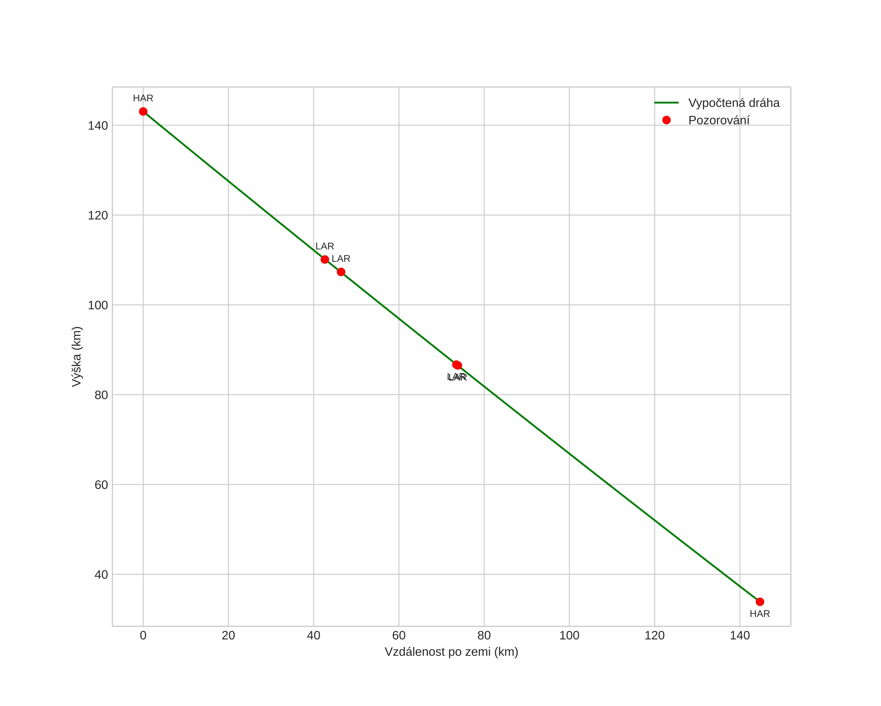
height profile
Atmosférická dráha meteoru:
Počáteční výška: 110,8 km
Konečná výška: 86,5 km
Počáteční poloha: 59,747N 8,526E
Konečná poloha: 59,535N 8,158E
Směr: 221,5°
Sklon: 37,8°
VstupnĂ­ rychlost: 62,3 km/s
Rektascenze radiantu: 02:57 (44,3°)
Deklinace radiantu: 55,6°
MeteorickĂ˝ roj: Perseidy
Elementy dráhy meteoroidu:
Vzdálenost v periheliu: 0,977 AU
Excentricita: 1,017
Sklon dráhy: 117,2°
Délka vzestupného uzlu: 139,8°
Argument perihelia: 158,2°
Střední anomálie: 0,0°
Epocha: 2022 AUG 12 21:33:06
orbit plot

NeinteraktivnĂ­ graf | InteraktivnĂ­ graf

position vs time
speed and acceleration