🇳🇴 🇬🇧 🇩🇪 🇨🇿 🇫🇮

Meteor, poloha: Fedje 2022-08-12 21:34:47 UTC

Soubor KML  |  InteraktivnĂ­ mapa

Mapa zobrazuje dráhy meteoru. Světlejší čáry ukazují směry od pozorovacích stanic při objevení se meteoru a tmavší čáry, kde byl naposledy viděn. Modrá šipka značí viditelnou dráhu meteoru.

static map
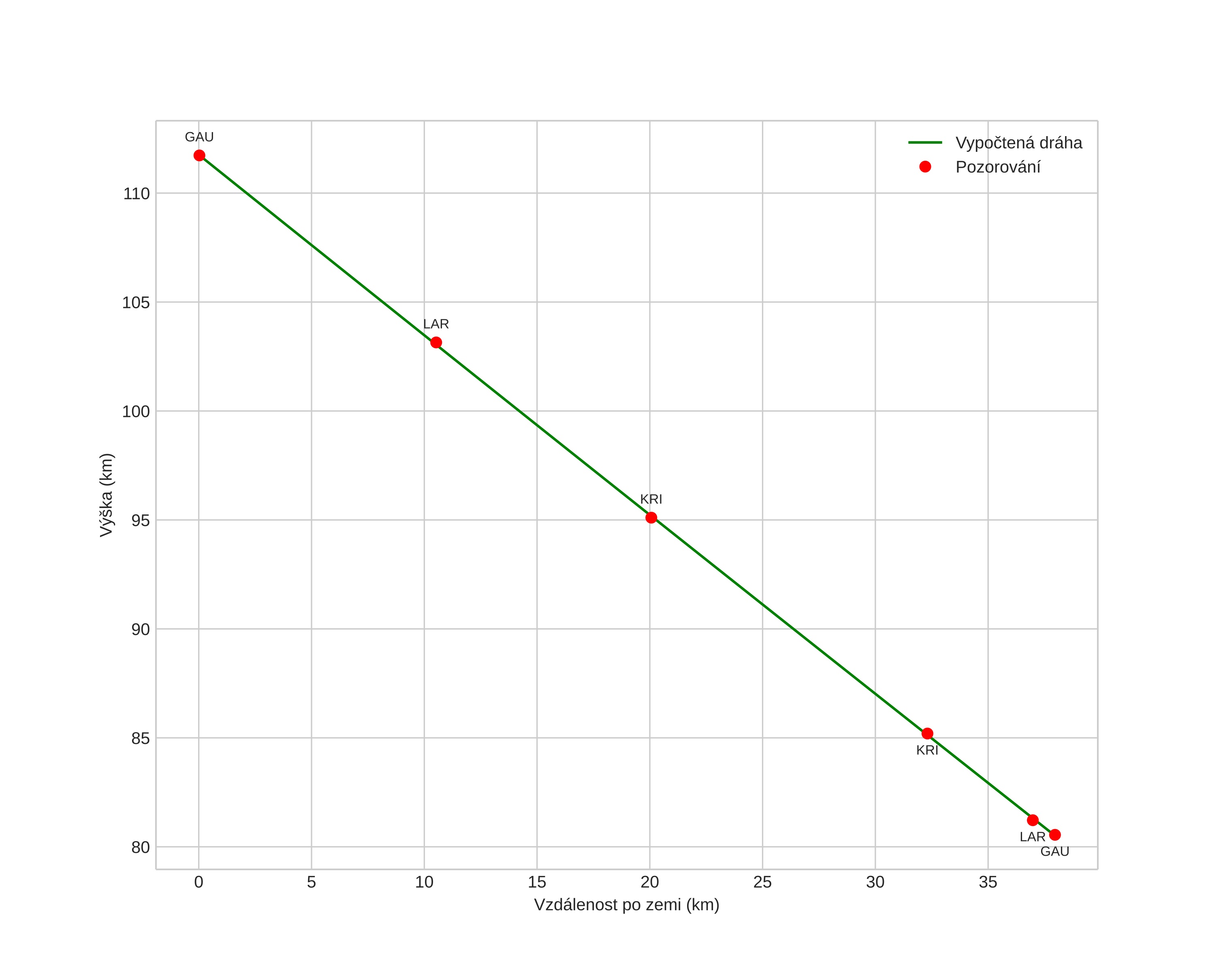
height profile
Atmosférická dráha meteoru:
Počáteční výška: 111,5 km
Konečná výška: 80,5 km
Počáteční poloha: 61,113N 4,630E
Konečná poloha: 60,831N 4,249E
Směr: 213,3°
Sklon: 39,6°
VstupnĂ­ rychlost: 64,1 km/s
Rektascenze radiantu: 03:23 (50,8°)
Deklinace radiantu: 60,1°
MeteorickĂ˝ roj: Perseidy
Elementy dráhy meteoroidu:
Vzdálenost v periheliu: 0,943 AU
Excentricita: 1,366
Sklon dráhy: 113,0°
Délka vzestupného uzlu: 139,8°
Argument perihelia: 151,7°
Střední anomálie: 4,3°
Epocha: 2022 AUG 12 21:34:47
orbit plot

NeinteraktivnĂ­ graf | InteraktivnĂ­ graf

position vs time
speed and acceleration