🇳🇴 🇬🇧 🇩🇪 🇨🇿 🇫🇮

Meteor, poloha: Valle 2022-08-12 21:54:06 UTC

Soubor KML  |  InteraktivnĂ­ mapa

Mapa zobrazuje dráhy meteoru. Světlejší čáry ukazují směry od pozorovacích stanic při objevení se meteoru a tmavší čáry, kde byl naposledy viděn. Modrá šipka značí viditelnou dráhu meteoru.

static map
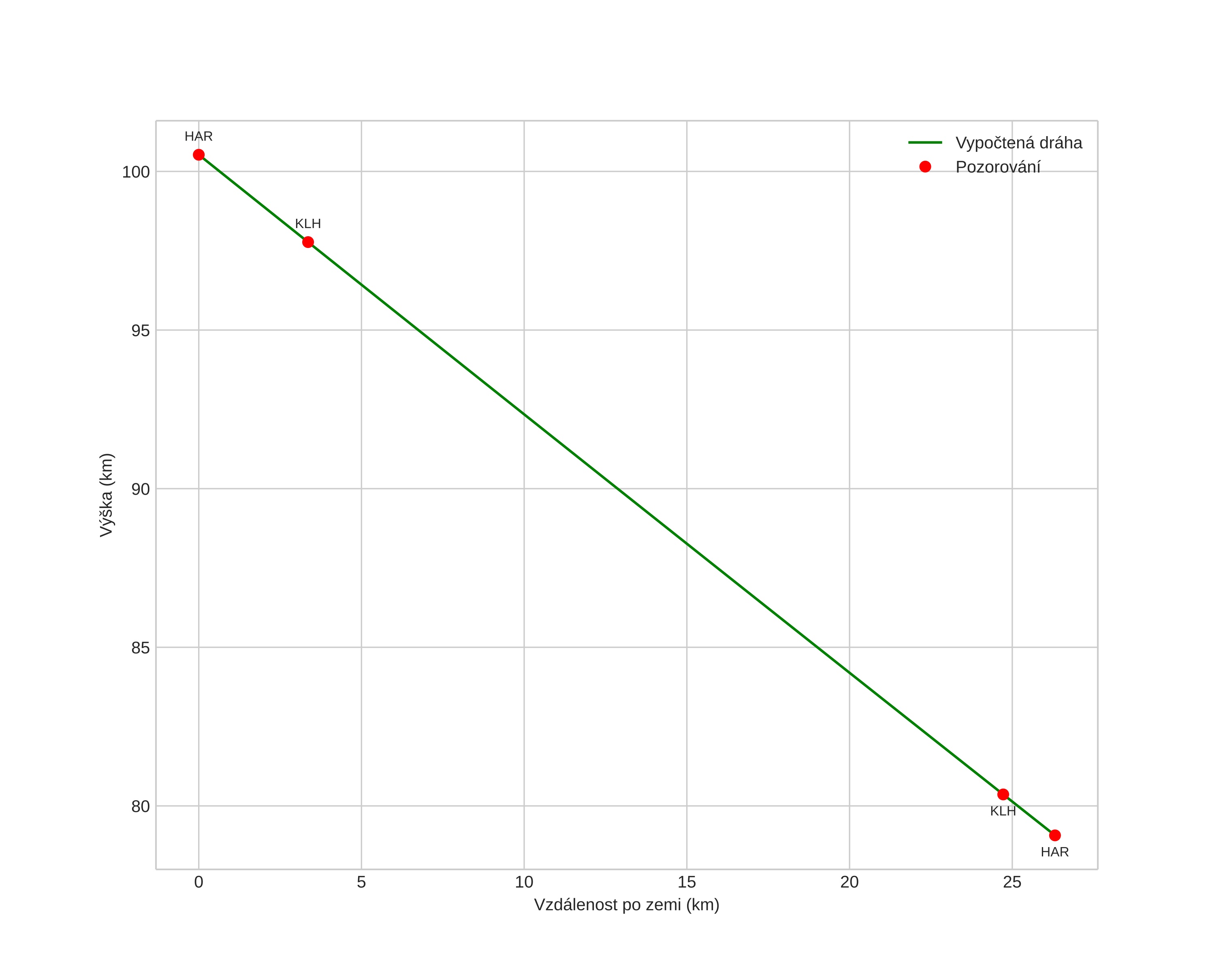
height profile
Atmosférická dráha meteoru:
Počáteční výška: 100,5 km
Konečná výška: 79,1 km
Počáteční poloha: 59,297N 7,584E
Konečná poloha: 59,123N 7,271E
Směr: 222,8°
Sklon: 39,1°
VstupnĂ­ rychlost: 56,6 km/s
Rektascenze radiantu: 03:00 (45,2°)
Deklinace radiantu: 56,1°
MeteorickĂ˝ roj: Perseidy
Elementy dráhy meteoroidu:
Vzdálenost v periheliu: 0,953 AU
Excentricita: 0,600
Sklon dráhy: 112,7°
Délka vzestupného uzlu: 139,9°
Argument perihelia: 147,4°
Střední anomálie: 6,8°
Epocha: 2022 AUG 12 21:54:06
orbit plot

NeinteraktivnĂ­ graf | InteraktivnĂ­ graf

position vs time
speed and acceleration