🇳🇴 🇬🇧 🇩🇪 🇨🇿 🇫🇮

Meteor, poloha: Risør 2022-08-12 22:42:01 UTC

Soubor KML  |  InteraktivnĂ­ mapa

Mapa zobrazuje dráhy meteoru. Světlejší čáry ukazují směry od pozorovacích stanic při objevení se meteoru a tmavší čáry, kde byl naposledy viděn. Modrá šipka značí viditelnou dráhu meteoru.

static map
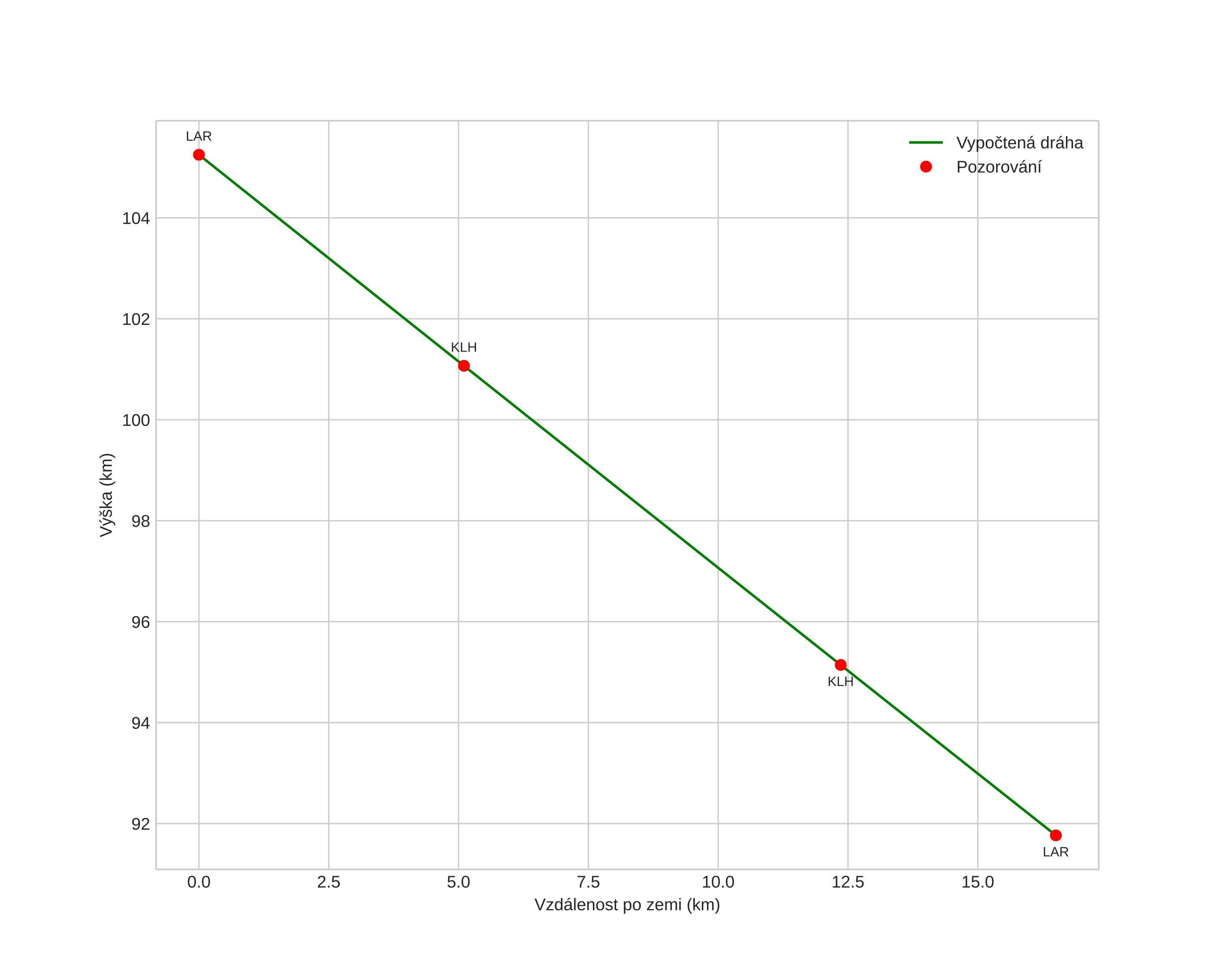
height profile
Atmosférická dráha meteoru:
Počáteční výška: 101,1 km
Konečná výška: 91,8 km
Počáteční poloha: 58,445N 9,635E
Konečná poloha: 58,373N 9,495E
Směr: 225,5°
Sklon: 39,2°
VstupnĂ­ rychlost: 56,3 km/s
Rektascenze radiantu: 03:40 (55,0°)
Deklinace radiantu: 55,1°
MeteorickĂ˝ roj: Perseidy
Elementy dráhy meteoroidu:
Vzdálenost v periheliu: 0,846 AU
Excentricita: 0,596
Sklon dráhy: 114,4°
Délka vzestupného uzlu: 139,9°
Argument perihelia: 123,9°
Střední anomálie: 12,9°
Epocha: 2022 AUG 12 22:42:01
orbit plot

NeinteraktivnĂ­ graf | InteraktivnĂ­ graf

position vs time
speed and acceleration